
Morphine
Background to the schools Wikipedia
This selection is made for schools by a children's charity read more. SOS Children has looked after children in Africa for forty years. Can you help their work in Africa?
![]()  | 
        |
|---|---|
![]()  | 
        |
| Systematic (IUPAC) name | |
| (5α,6α)-7,8-didehydro- 4,5-epoxy-17-methyl morphinan-3,6-diol  | 
        |
| Clinical data | |
| Trade names | Mscontin, Oramorph | 
| AHFS/ Drugs.com | monograph | 
| Pregnancy cat. | C (AU) C (US) | 
| Legal status | Controlled (S8) (AU) Schedule I (CA) Schedule II (US) Narcotic Schedules I and III (UN) Prescription Medicine Only | 
| Dependence liability | Very High (morphine, among other opiates are known to cause serious abuse, tolerance, dependence and withdrawal problems) | 
| Routes | Inhalation ( smoking), insufflation (snorting), oral, rectal, subcutaneous (S.C), intramuscular (I.M), intravenous (I.V), and intrathecal (I.T) | 
| Pharmacokinetic data | |
| Bioavailability | 20-40% (oral), 36-71% (rectally), 100% (IV/IM) | 
| Protein binding | 30–40% | 
| Metabolism | Hepatic 90% | 
| Half-life | 2–3 hours | 
| Excretion | Renal 90%, biliary 10% | 
| Identifiers | |
| CAS number |  57-27-2  64-31-3 (neutral sulfate), 52-26-6 (hydrochloride)  | 
        
| ATC code | N02 AA01 | 
| PubChem | CID 5288826 | 
| IUPHAR ligand | 1627 | 
| DrugBank | DB00295 | 
| ChemSpider |  4450907  | 
        
| UNII |  76I7G6D29C  | 
        
| KEGG |  D08233  | 
        
| ChEBI |  CHEBI:17303  | 
        
| ChEMBL |  CHEMBL70  | 
        
| Chemical data | |
| Formula | C17H19NO3 | 
| Mol. mass | 285.34 | 
| 
            SMILES 
           
  | 
        |
| 
            InChI 
           
  | 
        |
| Physical data | |
| Solubility in water | HCl & sulf.: 60 mg/mL (20 °C) | 
|   | 
        |
Morphine ( INN) (pron.: / ˈ m ɔr f iː n /; MS Contin, MSIR, Avinza, Kadian, Oramorph, Roxanol, Kapanol) is a potent opiate analgesic drug that is used to relieve severe pain. It was first isolated in 1804 by Friedrich Sertürner, first distributed by him in 1817, and first commercially sold by Merck in 1827, which at the time was a single small chemists' shop. It was more widely used after the invention of the hypodermic needle in 1857. It took its name from the Greek god of dreams Morpheus (Greek: Μορφεύς).
Morphine is the most abundant opiate found in opium, the dried latex extracted by shallowly slicing the unripe seedpods of the Papaver somniferum poppy. Morphine was the first active principle purified from a plant source and is one of at least 50 alkaloids of several different types present in opium, poppy straw concentrate, and other poppy derivatives. Morphine is generally 8 to 14 percent of the dry weight of opium, although specially bred cultivars reach 26 percent or produce little morphine at all (under 1 percent, perhaps down to 0.04 percent). The latter varieties, including the 'Przemko' and 'Norman' cultivars of the opium poppy, are used to produce two other alkaloids, thebaine and oripavine, which are used in the manufacture of semi-synthetic and synthetic opioids like oxycodone and etorphine and some other types of drugs. P. bracteatum does not contain morphine or codeine, or other narcotic phenanthrene-type, alkaloids. This species is rather a source of thebaine. Occurrence of morphine in other Papaverales and Papaveraceae, as well as in some species of hops and mulberry trees has not been confirmed. Morphine is produced most predominantly early in the life cycle of the plant. Past the optimum point for extraction, various processes in the plant produce codeine, thebaine, and in some cases negligible amounts of hydromorphone, dihydromorphine, dihydrocodeine, tetrahydro-thebaine, and hydrocodone (these compounds are rather synthesized from thebaine and oripavine). The human body produces endorphins, which are endogenous opioid peptides that function as neurotransmitters and have similar effects.
In clinical medicine, morphine is regarded as the gold standard, or benchmark, of opioid analgesics used to relieve severe or agonizing pain and suffering. Like other opioids, such as oxycodone, hydromorphone, and diacetylmorphine ( heroin), morphine acts directly on the central nervous system (CNS) to relieve pain. Morphine has a high potential for addiction; tolerance and psychological dependence develop rapidly, although physiological dependence may take several months to develop.
Medical uses
Morphine is primarily used to treat both acute and chronic severe pain. It is also used for pain due to myocardial infarction and for labor pains. There are however concerns that morphine may increase mortality in the setting of non ST elevation myocardial infarction. Morphine has also traditionally been used in the treatment of the acute pulmonary edema. A 2006 review however found little evidence to support this practice.
Immediate release morphine is beneficial in reducing the symptom of acute shortness of breath due to both cancer and non-cancer causes. In the setting of breathlessness at rest or on minimal exertion from conditions such as advanced cancer or end-stage cardio-respiratory diseases, regular, low-dose sustained release morphine significantly reduces breathlessness safely, with its benefits maintained over time.
Its duration of analgesia is about 3–4 hours when administered via the intravenous, subcutaneous, or intramuscular route and 3–6 hours when given by mouth. Morphine is also used in slow release formulations for opiate substitution therapy (OST) in Austria, Bulgaria, and Slovenia, for addicts who cannot tolerate the side effects of using either methadone or buprenorphine, or for addicts who are "not held" by buprenorphine or methadone. It is used for OST in many parts of Europe although on a limited basis.
Adverse effects
Constipation
Like loperamide and other opioids, morphine acts on the myenteric plexus in the intestinal tract, reducing gut motility, causing constipation. The gastrointestinal effects of morphine are mediated primarily by μ-opioid receptors in the bowel. By inhibiting gastric emptying and reducing propulsive peristalsis of the intestine, morphine decreases the rate of intestinal transit. Reduction in gut secretion and increased intestinal fluid absorption also contribute to the constipating effect. Opioids also may act on the gut indirectly through tonic gut spasms after inhibition of nitric oxide generation. This effect was shown in animals when a nitric oxide precursor, L-Arginine, reversed morphine-induced changes in gut motility.
Addiction
Morphine is a potentially highly addictive substance. It can cause psychological dependence and physical dependence as well as tolerance, with an addiction potentially identical to that of heroin. A very serious narcotic habit can develop in a matter of weeks, whereas iatrogenic morphine addiction rates have, according to a number of studies, remained nearly constant at one case in 150 to 200 for at least two centuries. In the presence of pain and the other disorders for which morphine is indicated, a combination of psychological and physiological factors tend to prevent true addiction from developing, although physical dependence and tolerance will develop with protracted opioid therapy.
In controlled studies comparing the physiological and subjective effects of injected heroin and morphine in individuals formerly addicted to opiates, subjects showed no preference for one drug over the other. Equipotent, injected doses had comparable action courses, with no difference in subjects' self-rated feelings of euphoria, ambition, nervousness, relaxation, drowsiness, or sleepiness. Short-term addiction studies by the same researchers demonstrated that tolerance developed at a similar rate to both heroin and morphine. When compared to the opioids hydromorphone, fentanyl, oxycodone, and pethidine/ meperidine, former addicts showed a strong preference for heroin and morphine, suggesting that heroin and morphine are particularly susceptible to abuse and addiction. Morphine and heroin were also much more likely to produce euphoria and other positive subjective effects when compared to these other opioids. The choice of heroin and morphine over other opioids by former-drug addicts may also be the result of the fact that heroin (also known as morphine diacetate, diamorphine or di-acetyl-morphine) is an ester of morphine and a morphine prodrug, essentially meaning that they are identical drugs in vivo. Heroin is converted to morphine before binding to the opioid receptors in the brain and spinal cord, where morphine then causes the subjective effects, which is what the addicted individuals are ultimately looking for.
Other studies, such as the Rat Park experiments, suggest that morphine is less physically addictive than others suggest, and most studies on morphine addiction merely show that "severely distressed animals, like severely distressed people, will relieve their distress pharmacologically if they can." In these studies, rats with a morphine "addiction" overcome their addiction themselves when placed in decent living environments with enough space, good food, companionship, areas for exercise, and areas for privacy. More recent research has shown that an enriched environment may decrease morphine addiction in mice.
Tolerance
Tolerance to the analgesic effects of morphine is fairly rapid. There are several hypotheses about how tolerance develops, including opioid receptor phosphorylation (which would change the receptor conformation), functional decoupling of receptors from G-proteins (leading to receptor desensitization), μ-opioid receptor internalization and/or receptor down-regulation (reducing the number of available receptors for morphine to act on), and upregulation of the cAMP pathway (a counterregulatory mechanism to opioid effects) (For a review of these processes, see Koch and Hollt.) CCK might mediate some counter-regulatory pathways responsible for opioid tolerance. CCK-antagonist drugs, specifically proglumide, have been shown to slow the development of tolerance to morphine.
Withdrawal
Cessation of dosing with morphine creates the prototypical opioid withdrawal syndrome, which, unlike that of barbiturates, benzodiazepines, alcohol, or sedative-hypnotics, is not fatal by itself in neurologically healthy patients without heart or lung problems; it is in theory self-limiting in length and overall impact in that a rapid increase in metabolism and other bodily processes takes place, including shedding and replacement of the cells of many organs.
Nonetheless, suicide, heart attacks, strokes, seizures proceeding to status epilepticus, and effects of extreme dehydration do lead to fatal outcomes in a small fraction of cases.
Acute morphine along with and other opioid withdrawal proceeds through a number of stages. Other opioids differ in the intensity and length of each, and weak opioids and mixed agonist-antagonists may have acute withdrawal syndromes that do not reach the highest level. As commonly cited, they are:
- Stage I: Six to fourteen hours after last dose: Drug craving, anxiety, irritability, perspiration, and mild to moderate dysphoria.
 
- Stage II: Fourteen to eighteen hours after last dose: Yawning, heavy perspiration, mild depression lacrimation, crying, running nose, dysphoria, also intensification of the above symptoms. "yen sleep" (a waking trance-like state)
 
- Stage III: Sixteen to twenty-four hours after last dose: Rhinorrhea (runny nose) and increase in other of the above, dilated pupils, piloerection (goose bumps), muscle twitches, hot flashes, cold flashes, aching bones and muscles, loss of appetite and the beginning of intestinal cramping.
 
- Stage IV: Twenty-four to thirty-six hours after last dose: Increase in all of the above including severe cramping and involuntary leg movements ("kicking the habit"), loose stool, insomnia, elevation of blood pressure, moderate elevation in body temperature, increase in frequency of breathing and tidal volume, tachycardia (elevated pulse), restlessness, nausea
 
- Stage V: Thirty-six to seventy-two hours after last dose: Increase in the above, fetal position, vomiting, free and frequent liquid diarrhea, which sometimes can accelerate the time of passage of food from mouth to out of system to an hour or less, involuntary ejaculation, which is often painful, saturation of bedding materials with bodily fluids, weight loss of two to five kilos per 24 hours, increased white cell count and other blood changes.
 
- Stage VI: After completion of above: Recovery of appetite ("the chucks"), and normal bowel function, beginning of transition to post-acute and chronic symptoms that are mainly psychological but that may also include increased sensitivity to pain, hypertension, colitis or other gastrointestinal afflictions related to motility, and problems with weight control in either direction.
 
The withdrawal symptoms associated with morphine addiction are usually experienced shortly before the time of the next scheduled dose, sometimes within as early as a few hours (usually between 6–12 hours) after the last administration. Early symptoms include watery eyes, insomnia, diarrhea, runny nose, yawning, dysphoria, sweating and in some cases a strong drug craving. Severe headache, restlessness, irritability, loss of appetite, body aches, severe abdominal pain, nausea and vomiting, tremors, and even stronger and more intense drug craving appear as the ome progresses. Severe depression and vomiting are very common. During the acute withdrawal period systolic and diastolic blood pressure increase, usually beyond pre-morphine levels, and heart rate increases, which have potential to cause a heart attack, blood clot, or stroke.
Chills or cold flashes with goose bumps ("cold turkey") alternating with flushing (hot flashes), kicking movements of the legs ("kicking the habit") and excessive sweating are also characteristic symptoms. Severe pains in the bones and muscles of the back and extremities occur, as do muscle spasms. At any point during this process, a suitable narcotic can be administered that will dramatically reverse the withdrawal symptoms. Major withdrawal symptoms peak between 48 and 96 hours after the last dose and subside after about 8 to 12 days. Sudden withdrawal by heavily dependent users who are in poor health is very rarely fatal. Morphine withdrawal is considered less dangerous than alcohol, barbiturate, or benzodiazepine withdrawal.
The psychological dependence associated with morphine addiction is complex and protracted. Long after the physical need for morphine has passed, the addict will usually continue to think and talk about the use of morphine (or other drugs) and feel strange or overwhelmed coping with daily activities without being under the influence of morphine. Psychological withdrawal from morphine is a very long and painful process. Addicts often suffer severe depression, anxiety, insomnia, mood swings, amnesia (forgetfulness), low self-esteem, confusion, paranoia, and other psychological disorders. Without intervention, the syndrome will run its course, and most of the overt physical symptoms will disappear within 7 to 10 days including psychological dependence. There is a high probability that relapse will occur after morphine withdrawal when neither the physical environment nor the behavioural motivators that contributed to the abuse have been altered. Testimony to morphine's addictive and reinforcing nature is its relapse rate. Abusers of morphine (and heroin) have one of the highest relapse rates among all drug users, ranging up to 98 per cent in the estimation of some clinicians, neuropharmacologists, mental health/ AODA professionals and other medical experts.
Overdose
A large overdose can cause asphyxia and death by respiratory depression if the person does not receive medical attention immediately. Overdose treatment includes the administration of naloxone. The latter completely reverses morphine's effects, but precipitates immediate onset of withdrawal in opiate-addicted subjects. Multiple doses may be needed.
The minimum lethal dose is 200 mg but in case of hypersensitivity 60 mg can bring sudden death. In case of drug addiction, 2-3 g/day can be tolerated.
Contraindications
The following conditions are relative contraindications for morphine:
- acute respiratory depression
 - renal failure (due to accumulation of the metabolites morphine-3-glucuronide and morphine-6-glucuronide)
 - chemical toxicity (potentially lethal in low tolerance subjects)
 - raised intracranial pressure, including head injury (risk of worsening respiratory depression)
 - Biliary colic.
 
Although it has previously been thought that morphine was contraindicated in acute pancreatitis, a review of the literature shows no evidence for this.
Synthesis
The first synthesis by Marshall D. Gates, Jr. in 1952 is considered a classic in the field. Several other syntheses were reported, notably by the research groups of Rice, Evans, Fuchs, Parker, Overman, Mulzer-Trauner, White, Taber, Trost, Fukuyama, Guillou and Stork.
Pharmacology
Endogenous opioids include endorphins, enkephalins, dynorphins, and even morphine itself. Morphine appears to mimic endorphins. Endorphins, a contraction of the term endogenous morphines, are responsible for analgesia (reducing pain), causing sleepiness, and feelings of pleasure. They can be released in response to pain, strenuous exercise, orgasm, or excitement.
Morphine is the prototype narcotic drug and is the standard against which all other opioids are tested. It interacts predominantly with the μ-opioid receptor. These μ-binding sites are discretely distributed in the human brain, with high densities in the posterior amygdala, hypothalamus, thalamus, nucleus caudatus, putamen, and certain cortical areas. They are also found on the terminal axons of primary afferents within laminae I and II ( substantia gelatinosa) of the spinal cord and in the spinal nucleus of the trigeminal nerve.
Morphine is a phenanthrene opioid receptor agonist – its main effect is binding to and activating the μ-opioid receptors in the central nervous system. In clinical settings, morphine exerts its principal pharmacological effect on the central nervous system and gastrointestinal tract. Its primary actions of therapeutic value are analgesia and sedation. Activation of the μ-opioid receptors is associated with analgesia, sedation, euphoria, physical dependence, and respiratory depression. Morphine is a rapid-acting narcotic, and it is known to bind very strongly to the μ-opioid receptors, and for this reason, it often has a higher incidence of euphoria/dysphoria, respiratory depression, sedation, pruritus, tolerance, and physical and psychological dependence when compared to other opioids at equianalgesic doses. Morphine is also a κ-opioid and δ-opioid receptor agonist, κ-opioid's action is associated with spinal analgesia, miosis (pinpoint pupils) and psychotomimetic effects. δ-opioid is thought to play a role in analgesia. Although morphine does not bind to the σ-receptor, it has been shown that σ-agonists, such as (+)- pentazocine, antagonize morphine analgesia, and σ-antagonists enhance morphine analgesia, suggesting some interaction between morphine and the σ-opioid receptor.
The effects of morphine can be countered with opioid antagonists such as naloxone and naltrexone; the development of tolerance to morphine may be inhibited by NMDA antagonists such as ketamine or dextromethorphan. The rotation of morphine with chemically dissimilar opioids in the long-term treatment of pain will slow down the growth of tolerance in the longer run, particularly agents known to have significantly incomplete cross-tolerance with morphine such as levorphanol, ketobemidone, piritramide, and methadone and its derivatives; all of these drugs also have NMDA antagonist properties. It is believed that the strong opioid with the most incomplete cross-tolerance with morphine is either methadone or dextromoramide.
Gene expression
Studies have shown that morphine can alter the expression of a number of genes. A single injection of morphine has been shown to alter the expression of two major groups of genes, for proteins involved in mitochondrial respiration and for cytoskeleton-related proteins.
Effects on the immune system
Morphine has long been known to act on receptors expressed on cells of the central nervous system resulting in pain relief and analgesia. In the 1970s and '80s, evidence suggesting that opiate drug addicts show increased risk of infection (such as increased pneumonia, tuberculosis, and HIV) led scientists to believe that morphine may also affect the immune system. This possibility increased interest in the effect of chronic morphine use on the immune system.
The first step of determining that morphine may affect the immune system was to establish that the opiate receptors known to be expressed on cells of the central nervous system are also expressed on cells of the immune system. One study successfully showed that dendritic cells, part of the innate immune system, display opiate receptors. Dendritic cells are responsible for producing cytokines, which are the tools for communication in the immune system. This same study showed that dendritic cells chronically treated with morphine during their differentiation produce more interleukin-12 (IL-12), a cytokine responsible for promoting the proliferation, growth, and differentiation of T-cells (another cell of the adaptive immune system) and less interleukin-10 (IL-10), a cytokine responsible for promoting a B-cell immune response (B cells produce antibodies to fight off infection).
This regulation of cytokines appear to occur via the p38 MAPKs (mitogen-activated protein kinase)-dependent pathway. Usually, the p38 within the dendritic cell expresses TLR 4 (toll-like receptor 4), which is activated through the ligand LPS ( lipopolysaccharide). This causes the p38 MAPK to be phosphorylated. This phosphorylation activates the p38 MAPK to begin producing IL-10 and IL-12. When the dendritic cells are chronically exposed to morphine during their differentiation process then treated with LPS, the production of cytokines is different. Once treated with morphine, the p38 MAPK does not produce IL-10, instead favoring production of IL-12. The exact mechanism through which the production of one cytokine is increased in favour over another is not known. Most likely, the morphine causes increased phosphorylation of the p38 MAPK. Transcriptional level interactions between IL-10 and IL-12 may further increase the production of IL-12 once IL-10 is not being produced. This increased production of IL-12 causes increased T-cell immune response. This response is due to the ability of IL-12 to cause T helper cells to differentiate into the Th1 cell, causing a T cell immune response.
Further studies on the effects of morphine on the immune system have shown that morphine influences the production of neutrophils and other cytokines. Since cytokines are produced as part of the immediate immunological response ( inflammation), it has been suggested that they may also influence pain. In this way, cytokines may be a logical target for analgesic development. Recently, one study has used an animal model (hind-paw incision) to observe the effects of morphine administration on the acute immunological response. Following hind-paw incision, pain thresholds and cytokine production were measured. Normally, cytokine production in and around the wounded area increases in order to fight infection and control healing (and, possibly, to control pain), but pre-incisional morphine administration (0.1-10.0 mg/kg) reduced the number of cytokines found around the wound in a dose-dependent manner. The authors suggest that morphine administration in the acute post-injury period may reduce resistance to infection and may impair the healing of the wound.
Pharmacokinetics
Absorption and metabolism
Morphine can be taken orally, sublingually, bucally, rectally, subcutaneously, intravenously, intrathecally or epidurally and inhaled via a nebulizer. On the streets, it is becoming more common to inhale (“ Chasing the Dragon"), but, for medical purposes, intravenous (IV) injection is the most common method of administration. Morphine is subject to extensive first-pass metabolism (a large proportion is broken down in the liver), so, if taken orally, only 40–50% of the dose reaches the central nervous system. Resultant plasma levels after subcutaneous (SC), intramuscular (IM), and IV injection are all comparable. After IM or SC injections, morphine plasma levels peak in approximately 20 minutes, and, after oral administration, levels peak in approximately 30 minutes. Morphine is metabolised primarily in the liver and approximately 87% of a dose of morphine is excreted in the urine within 72 hours of administration. Morphine is metabolized primarily into morphine-3-glucuronide (M3G) and morphine-6-glucuronide (M6G) via glucuronidation by phase II metabolism enzyme UDP-glucuronosyl transferase-2B7 (UGT2B7). About 60% of morphine is converted to M3G, and 6–10% is converted to M6G. The cytochrome P450 (CYP) family of enzymes involved in phase I metabolism plays a lesser role. Not only does the metabolism occur in the liver but it may also take place in the brain and the kidneys. M3G does not undergo opioid receptor binding and has no analgesic effect. M6G binds to μ-receptors and is half as potent an analgesic as morphine in humans. Morphine may also be metabolized into small amounts of normorphine, codeine, and hydromorphone. Metabolism rate is determined by gender, age, diet, genetic makeup, disease state (if any), and use of other medications. The elimination half-life of morphine is approximately 120 minutes, though there may be slight differences between men and women. Morphine can be stored in fat, and, thus, can be detectable even after death. Morphine is able to cross the blood–brain barrier, but, because of poor lipid solubility, protein binding, rapid conjugation with glucuronic acid and ionization, it does not cross easily. Diacetylmorphine, which is derived from morphine, crosses the blood–brain barrier more easily, making it more potent.
Detection in biological fluids
Morphine and its major metabolites, morphine-3-glucuronide and morphine-6-glucuronide, may be quantitated in blood, plasma, or urine to monitor for abuse, confirm a diagnosis of poisoning or assist in a medicolegal death investigation. Most commercial opiate screening tests based on immunoassays cross-react appreciably with these metabolites. However, chromatographic techniques can easily distinguish and measure each of these substances. When interpreting the results of a test, it is important to consider the morphine usage history of the individual, since a chronic user can develop tolerance to doses that would incapacitate an opiate-naive individual, and the chronic user often has high baseline values of these metabolites in his system. Furthermore, some testing procedures employ a hydrolysis step prior to quantitation that converts the metabolic products to morphine, yielding a result that may be many times larger than with a method that examines each product individually. Interpretation can be confounded by usage of codeine or ingestion of poppy seed foods, either of which leads to the presence of morphine and its conjugated metabolites in a person's biofluids.
Effects on human performance
Most reviews conclude that opioids produce minimal impairment of human performance on tests of sensory, motor, or attentional abilities. However, recent studies have been able to show some impairments caused by morphine, which is not surprising, given that morphine is a central nervous system depressant. Morphine has resulted in impaired functioning on critical flicker frequency (a measure of overall CNS arousal) and impaired performance on the Maddox Wing test (a measure of deviation of the visual axes of the eyes). Few studies have investigated the effects of morphine on motor abilities; a high dose of morphine can impair finger tapping and the ability to maintain a low constant level of isometric force (i.e. fine motor control is impaired), though no studies have shown a correlation between morphine and gross motor abilities.
In terms of cognitive abilities, one study has shown that morphine may have a negative impact on anterograde and retrograde memory, but these effects are minimal and are transient. Overall, it seems that acute doses of opioids in non-tolerant subjects produce minor effects in some sensory and motor abilities, and perhaps also in attention and cognition. It is likely that the effects of morphine will be more pronounced in opioid-naive subjects than chronic opioid users.
In chronic opioid users, such as those on Chronic Opioid Analgesic Therapy (COAT) for managing severe, chronic pain, behavioural testing has shown normal functioning on perception, cognition, coordination and behaviour in most cases. One recent study analysed COAT patients in order to determine whether they were able to safely operate a motor vehicle. The findings from this study suggest that stable opioid use does not significantly impair abilities inherent in driving (this includes physical, cognitive and perceptual skills). COAT patients showed rapid completion of tasks that require speed of responding for successful performance (e.g., Rey Complex Figure Test) but made more errors than controls. COAT patients showed no deficits in visual-spatial perception and organization (as shown in the WAIS-R Block Design Test) but did show impaired immediate and short-term visual memory (as shown on the Rey Complex Figure Test – Recall). These patients showed no impairments in higher order cognitive abilities (i.e., Planning). COAT patients appeared to have difficulty following instructions and showed a propensity toward impulsive behaviour, yet this did not reach statistical significance. It is important to note that this study reveals that COAT patients have no domain-specific deficits, which supports the notion that chronic opioid use has minor effects on psychomotor, cognitive, or neuropsychological functioning.
It is difficult to study the performance effects of morphine without considering why a person is taking morphine. Opioid-naive subjects are volunteers in a pain-free state. However, most chronic-users of morphine use it to manage pain. Pain is a stressor and so it can confound performance results, especially on tests that require a large degree of concentration. Pain is also variable, and will vary over time and from person to person. It is unclear to what extent the stress of pain may cause impairments, and it is also unclear whether morphine is potentiating or attenuating these impairments.
Chemistry
Morphine is a benzylisoquinoline alkaloid with two additional ring closures. It has:
- A rigid pentacyclic structure consisting of a benzene ring (A), two partially unsaturated cyclohexane rings (B and C), a piperidine ring (D) and a tetrahydrofuran ring (E). Rings A, B and C are the phenanthrene ring system. This ring system has little conformational flexibility.
 - Two hydroxyl functional groups: a A3-phenolic OH (pKa 9.9) and a C6- allylic OH
 - An ether linkage between C4 and C5,
 - Unsaturation between C7 and C8,
 - A basic, 3o-amine function at position 17,
 - 5 centers of chirality (C5, C6, C9, C13 and C14) with morphine exhibiting a high degree of stereoselectivity of analgesic action.
 
Most of the licit morphine produced is used to make codeine by methylation. It is also a precursor for many drugs including heroin (3,6-diacetylmorphine), hydromorphone (dihydromorphinone), and oxymorphone (14-hydroxydihydromorphinone). Replacement of the N-methyl group of morphine with an N-phenylethyl group results in a product that is 18 times more powerful than morphine in its opiate agonist potency. Combining this modification with the replacement of the 6- hydroxyl with a 6- methylene group produces a compound some 1,443 times more potent than morphine, stronger than the Bentley compounds such as etorphine.
The structure-activity relationship of morphine has been extensively studied. As a result of the extensive study and use of this molecule, more than 200 morphine derivatives (also counting codeine and related drugs) have been developed since the last quarter of the 19th century. These drugs range from 25 percent the strength of codeine (or slightly more than 2 percent of the strength of morphine) to several hundred times the strength of morphine, to powerful opioid antagonists, including naloxone (Narcan), naltrexone (Trexan), and nalorphine (Nalline).
Morphine-derived agonist–antagonist drugs have also been developed. Elements of the morphine structure have been used to create completely synthetic drugs such as the morphinan family ( levorphanol, dextromethorphan and others) and other groups that have many members with morphine-like qualities. The modification of morphine and the aforementioned synthetics has also given rise to non-narcotic drugs with other uses such as emetics, stimulants, antitussives, anticholinergics, muscle relaxants, local anaesthetics, general anaesthetics, and others.
Most semi-synthetic opioids, both of the morphine and codeine subgroups, are created by modifying one or more of the following:
- Halogenating or making other modifications at positions 1 and/or 2 on the morphine carbon skeleton.
 - The methyl group that makes morphine into codeine can be removed or added back, or replaced with another functional group like ethyl and others to make codeine analogues of morphine-derived drugs and vice versa. Codeine analogues of morphine-based drugs often serve as prodrugs of the stronger drug, as in codeine and morphine, hydrocodone and hydromorphone, oxycodone and oxymorphone, nicocodeine and nicomorphine, dihydrocodeine and dihydromorphine, etc.
 - Saturating, opening, or other changes to the bond between positions 7 and 8, as well as adding, removing, or modifying functional groups to these positions; saturating, reducing, eliminating, or otherwise modifying the 7-8 bond and attaching a functional group at 14 yields hydromorphinol; the oxidation of the hydroxyl group to a carbonyl and changing the 7-8 bond to single from double changes codeine into oxycodone.
 
- Attachment, removal or modification of functional groups to positions 3 and/or 6 (dihydrocodeine and related, hydrocodone, nicomorphine); in the case of moving the methyl functional group from position 3 to 6, codeine becomes heterocodeine, which is 72 times stronger, and therefore six times stronger than morphine
 - Attachment of functional groups or other modification at position 14 (oxymorphone, oxycodone, naloxone)
 - Modifications at positions 2, 4, 5 or 17, usually along with other changes to the molecule elsewhere on the morphine skeleton. Often this is done with drugs produced by catalytic reduction, hydrogenation, oxidation, or the like, producing strong derivatives of morphine and codeine.
 
Both morphine and its hydrated form, C17H19NO3H2O, are sparingly soluble in water. In five liters of water, only one gram of the hydrate will dissolve. For this reason, pharmaceutical companies produce sulfate and hydrochloride salts of the drug, both of which are over 300 times more water-soluble than their parent molecule. Whereas the pH of a saturated morphine hydrate solution is 8.5, the salts are acidic. Since they derive from a strong acid but weak base, they are both at about pH = 5; as a consequence, the morphine salts are mixed with small amounts of NaOH to make them suitable for injection.
A number of salts of morphine are used, with the most common in current clinical use being the hydrochloride, sulfate, tartrate, and citrate; less commonly methobromide, hydrobromide, hydroiodide, lactate, chloride, and bitartrate and the others listed below. Morphine diacetate, which is another name for heroin is a Schedule I controlled substance, so it is not used clinically in the United States; it is a sanctioned medication in the United Kingdom and in Canada, its use being particularly common (nearly to the degree of the hydrochloride salt) in the United Kingdom. Morphine meconate is a major form of the alkaloid in the poppy, as is morphine pectinate, nitrate and some others. Like codeine, dihydrocodeine and other, especially older, opiates, morphine has been used as the salicylate salt by some suppliers and can be easily compounded, imparting the therapeutic advantage of both the opioid and the NSAID; multiple barbiturate salts of morphine were also used in the past, as was/is morphine valerate, the salt of the acid being the active principle of valerian. Calcium morphenate is the intermediate in various latex and poppy-straw methods of morphine production. Morphine ascorbate and other salts such as the tannate, citrate, and acetate, phosphate, valerate and others may be present in poppy tea depending on the method of preparation. Morphine valerate produced industrially was one ingredient of a medication available for both oral and parenteral administration popular many years ago in Europe and elsewhere called Trivalin (not to be confused with the current, unrelated herbal preparation of the same name), which also included the valerates of caffeine and cocaine, with a version containing codeine valerate as a fourth ingredient being distributed under the name Tetravalin.
Closely related to morphine are the opioids morphine-N-oxide (genomorphine), which is a pharmaceutical that is no longer in common use; and pseudomorphine, an alkaloid that exists in opium, form as degradation products of morphine.
The salts listed by the United States Drug Enforcement Administration for reporting purposes, in addition to a few others, are as follows:
| Select forms of morphine as 'morphiniums' or N-protonated cations of morphine, i.e. ionic salts & chemical form with freebase conversion ratios: Click to | |||||||||||||||||||||||||||||||||||||||||||||||||||||||||||||||||||||||||||||||||||||||||||||||||||||||||||||||||||||||||||||||||||||||
|---|---|---|---|---|---|---|---|---|---|---|---|---|---|---|---|---|---|---|---|---|---|---|---|---|---|---|---|---|---|---|---|---|---|---|---|---|---|---|---|---|---|---|---|---|---|---|---|---|---|---|---|---|---|---|---|---|---|---|---|---|---|---|---|---|---|---|---|---|---|---|---|---|---|---|---|---|---|---|---|---|---|---|---|---|---|---|---|---|---|---|---|---|---|---|---|---|---|---|---|---|---|---|---|---|---|---|---|---|---|---|---|---|---|---|---|---|---|---|---|---|---|---|---|---|---|---|---|---|---|---|---|---|---|---|---|
          
  | 
        
Production
In the opium poppy the alkaloids are bound to meconic acid. The method is to extract from the crushed plant with diluted sulfuric acid, which is a stronger acid than meconic acid, but not so strong to react with alkaloid molecules. The extraction is performed in many steps (one amount of crushed plant is at least six to ten times extracted, so practically every alkaloid goes into the solution). From the solution obtained at the last extraction step, the alkaloids are precipitated by either ammonium hydroxide or sodium carbonate. The last step is purifying and separating morphine from other opium alkaloids. The somewhat similar Gregory process was developed in the United Kingdom during the Second World War, which begins with stewing the entire plant, in most cases save the roots and leaves, in plain or mildly acidified water, then proceeding through steps of concentration, extraction, and purification of alkaloids. Other methods of processing poppy straw use steam, one or more of several types of alcohol, or other organic solvents.
The poppy straw methods predominate in Continental Europe and the British Commonwealth, with the latex method in most common use in India. The latex method can involve either vertical or horizontal slicing of the unripe pods with a two-to five-bladed knife with a guard developed specifically for this purpose to the depth of a fraction of a millimetre and scoring of the pods can be done up to five times. An alternative latex method sometimes used in China in the past is to cut off the poppy heads, run a large needle through them, and collect the dried latex 24 to 48 hours later.
Opium poppy contains at least 50 different alkaloids, but most of them are of very low concentration. Morphine is the principal alkaloid in raw opium and constitutes ~8-19% of opium by dry weight (depending on growing conditions). Some purpose-developed strains of poppy now produce opium that is up to 26 percent morphine by weight. A rough rule of thumb to determine the morphine content of pulverised dried poppy straw is to divide the percentage expected for the strain or crop via the latex method by eight or an empirically determined factor, which is often in the range of 5 to 15. The Norman strain of P. Somniferum, also developed in Tasmania, produces down to 0.04 percent morphine but with much higher amounts of thebaine and oripavine, which can be used to synthesise semi-synthetic opioids as well as other drugs like stimulants, emetics, opioid antagonists, anticholinergics, and smooth-muscle agents.
In the 1950s and 1960s, Hungary supplied nearly 60% of Europe's total medication-purpose morphine production. To this day, poppy farming is legal in Hungary, but poppy farms are limited by law to 2 acres (8,100 m2). It is also legal to sell dried poppy in flower shops for use in floral arrangements.
It was announced in 1973 that a team at the National Institutes of Health in the United States had developed a method for total synthesis of morphine, codeine, and thebaine using coal tar as a starting material. A shortage in codeine-hydrocodone class cough suppressants (all of which can be made from morphine in one or more steps, as well as from codeine or thebaine) was the initial reason for the research.
Most morphine produced for pharmaceutical use around the world is actually converted into codeine as the concentration of the latter in both raw opium and poppy straw is much lower than that of morphine; in most countries, the usage of codeine (both as end-product and precursor) is at least equal or greater than that of morphine on a weight basis and codeine is by far the most commonly used opioid in the world. While strains of poppies have been engineered to produce much higher yields of the other useful opioid pharmaceutical precursors thebaine and oripavine, no known strain of P. somniferum will produce more codeine than morphine under most or all possible conditions. In general, the poppy straw process of producing opioid alkaloids yields more codeine but an equal or somewhat smaller thebaine yield.
Extraction and detection
Morphine can be isolated from whole blood samples by solid phase extraction (SPE) and detected using liquid chromatography-mass spectrometry (LC-MS).
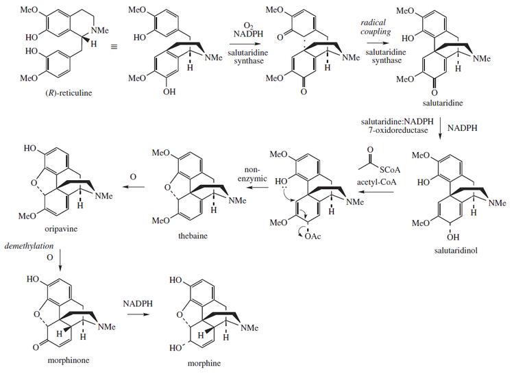
Biosynthesis
The morphine is biosynthesized from the tetrahydroisoquinoline reticuline. It is converted into salutaridine, thebaine, and oripavine. The involucrated enzymes in this process are the salutaridine synthase, salutaridine:NADPH 7-oxidoreductase and the codeinone reductase
History
An opium-based elixir has been ascribed to alchemists of Byzantine times, but the specific formula was lost during the Ottoman conquest of Constantinople (Istanbul). Around 1522, Paracelsus made reference to an opium-based elixir that he called laudanum from the Latin word laudare, meaning "to praise" He described it as a potent painkiller, but recommended that it be used sparingly. In the late eighteenth century, when the East India Company gained a direct interest in the opium trade through India, another opiate recipe called laudanum became very popular among physicians and their patients.
Morphine was discovered as the first active alkaloid extracted from the opium poppy plant in December 1804 in Paderborn, Germany, by Friedrich Sertürner. The drug was first marketed to the general public by Sertürner and Company in 1817 as an analgesic, and also as a treatment for opium and alcohol addiction. Commercial production began in Darmstadt, Germany in 1827 by the pharmacy that became the pharmaceutical company Merck, with morphine sales being a large part of their early growth.
Later it was found that morphine was more addictive than either alcohol or opium, and its extensive use during the American Civil War allegedly resulted in over 400,000 sufferers from the "soldier's disease" of morphine addiction. This idea has been a subject of controversy, as there have been suggestions that such a disease was in fact a fabrication; the first documented use of the phrase "soldier's disease" was in 1915.
Diacetylmorphine (better known as heroin) was synthesized from morphine in 1874 and brought to market by Bayer in 1898. Heroin is approximately 1.5 to 2 times more potent than morphine weight for weight. Due to the lipid solubility of diacetylmorphine, it is able to cross the blood–brain barrier faster than morphine, subsequently increasing the reinforcing component of addiction. Using a variety of subjective and objective measures, one study estimated the relative potency of heroin to morphine administered intravenously to post-addicts to be 1.80–2.66 mg of morphine sulfate to 1 mg of diamorphine hydrochloride (heroin).
Morphine became a controlled substance in the US under the Harrison Narcotics Tax Act of 1914, and possession without a prescription in the US is a criminal offense. Morphine was the most commonly abused narcotic analgesic in the world until heroin was synthesized and came into use. In general, until the synthesis of dihydromorphine (ca. 1900), the dihydromorphinone class of opioids (1920s), and oxycodone (1916) and similar drugs, there were no other drugs in the same efficacy range as opium, morphine, and heroin, with synthetics still several years away ( pethidine was invented in Germany in 1937) and opioid agonists among the semi-synthetics were analogues and derivatives of codeine such as dihydrocodeine (Paracodin), ethylmorphine (Dionine), and benzylmorphine (Peronine). Even today, morphine is the most sought after prescription narcotic by heroin addicts when heroin is scarce, all other things being equal; local conditions and user preference may cause hydromorphone, oxymorphone, high-dose oxycodone, or methadone as well as dextromoramide in specific instances such as 1970s Australia, to top that particular list. The stop-gap drugs used by the largest absolute number of heroin addicts is probably codeine, with significant use also of dihydrocodeine, poppy straw derivatives like poppy pod and poppy seed tea, propoxyphene, and tramadol.
The structural formula of morphine was determined by 1925 by Robert Robinson. At least three methods of total synthesis of morphine from starting materials such as coal tar and petroleum distillates have been patented, the first of which was announced in 1952, by Dr. Marshall D. Gates, Jr. at the University of Rochester. Still, the vast majority of morphine is derived from the opium poppy by either the traditional method of gathering latex from the scored, unripe pods of the poppy, or processes using poppy straw, the dried pods and stems of the plant, the most widespread of which was invented in Hungary in 1925 and announced in 1930 by the chemist János Kábay.
In 2003, there was discovery of endogenous morphine occurring naturally in the human body. Thirty years of speculation were made on this subject because there was a receptor that, it appeared, reacted only to morphine: the mu3 opiate receptor in human tissue. Human cells that form in reaction to cancerous neuroblastoma cells have been found to contain trace amounts of endogenous morphine.
Society and culture
Illicit use
The euphoria, comprehensive alleviation of distress and therefore all aspects of suffering, promotion of sociability and empathy, "body high", and anxiolysis provided by narcotic drugs including the opioids can cause the use of high doses in the absence of pain for a protracted period, which can impart a morbid craving for the drug in the user. Being the prototype of the entire opioid class of drugs means that morphine has properties that may lend it to misuse. Morphine addiction is the model upon which the current perception of addiction is based.
Animal and human studies and clinical experience back up the contention that morphine is one of the most euphoric of drugs on earth, and via all but the IV route heroin and morphine cannot be distinguished according to studies because heroin is a prodrug for the delivery of systemic morphine. Chemical changes to the morphine molecule yield other euphorigenics such as dihydromorphine, hydromorphone (Dilaudid, Hydal), and oxymorphone (Numorphan, Opana), as well as the latter three's methylated equivalents dihydrocodeine, hydrocodone, and oxycodone, respectively; in addition to heroin, there are dipropanoylmorphine, diacetyldihydromorphine, and other members of the 3,6 morphine diester category like nicomorphine and other similar semi-synthetic opiates like desomorphine, hydromorphinol, etc. used clinically in many countries of the world but in many cases also produced illicitly in rare instances.
In general, misuse of morphine entails taking more than prescribed or outside of medical supervision, injecting oral formulations, mixing it with unapproved potentiators such as alcohol, cocaine, and the like, and/or defeating the extended-release mechanism by chewing the tablets or turning into a powder for snorting or preparing injectables. The latter method can be every bit as time-consuming and involved as traditional methods of smoking opium. This and the fact that the liver destroys a large percentage of the drug on the first pass impacts the demand side of the equation for clandestine re-sellers, as many customers are not needle users and may have been disappointed with ingesting the drug orally. As morphine is generally as hard or harder to divert than oxycodone in a lot of cases, morphine in any form is uncommon on the street, although ampoules and phials of morphine injection, pure pharmaceutical morphine powder, and soluble multi-purpose tablets are very popular where available.
Morphine is also available in a paste that is used in the production of heroin, which can be smoked by itself or turned to a soluble salt and injected; the same goes for the penultimate products of the Kompot (Polish Heroin) and black tar processes. Poppy straw as well as opium can yield morphine of purity levels ranging from poppy tea to near-pharmaceutical-grade morphine by itself or with all of the more than 50 other alkaloids. It also is the active narcotic ingredient in opium and all of its forms, derivatives, and analogues as well as forming from breakdown of heroin and otherwise present in many batches of illicit heroin as the result of incomplete acetylation.
Slang terms
Morphine is known on the street and elsewhere as M, sister morphine, Vitamin M, morpho, etc.
MS Contin tablets are known as misties, and the 100 mg extended-release tablets as greys and blockbusters. The " speedball" can use morphine as the narcotic component, which is combined with cocaine, amphetamines, methylphenidate, or similar drugs. "Blue Velvet" is a combination of morphine with the antihistamine tripelennamine (Pyrabenzamine, PBZ, Pelamine) taken by injection, or less commonly the mixture when swallowed or used as a retention enema; the name is also known to refer to a combination of tripelennamine and dihydrocodeine or codeine tablets or syrups taken by mouth. "Morphia" is an older official term for morphine also used as a slang term. "Driving Miss Emma" is intravenous administration of morphine. Multi-purpose tablets (readily soluble hypodermic tablets that can also be swallowed or dissolved under the tongue or betwixt the cheek and jaw) are known, as are some brands of hydromorphone, as Shake & Bake or Shake & Shoot.
Morphine can be smoked, especially diacetylmorphine (heroin), the most common method being the "Chasing The Dragon" method. To perform a relatively crude acetylation to turn the morphine into heroin and related drugs immediately prior to use is known as AAing (for Acetic Anhydride) or home-bake, and the output of the procedure also known as home-bake or, Blue Heroin (not to be confused with Blue Magic heroin, or the linctus known as Blue Morphine or Blue Morphone, or the Blue Velvet mixture described above.
Trade names
Morphine is marketed under many different brand names in various parts of the world:
| Morphine brand names | |
|---|---|
| A: | Actiskenan, Algedol, Amidiaz, Analmorph, Anafil, Analfin, Anamorph, Astramorph, Avinza | 
| C: | Capros, Cloruro Morfico Braun, Compensan, Continue, Contalgin | 
| D: | DepoDur, Depolan, Dimorf, Dolcontin, Dolo Moff, Doloral, Doltard, Dulcontin, Duralgin, Duralmor, Duramorph | 
| E: | Embeda, Epidural, Epimorph | 
| F: | Filnarine | 
| G: | GNO, Graten, G-Morphine | 
| I: | Infumorph | 
| K: | Kadian, Kapabloc, Kapanol | 
| L: | LA Morph, Loceptin, Longphine | 
| M: | M-Beta, M-Dolor, M-Eslon, M-Long, M-Retard, M-Stada, Malfin, Maxidon, MCR, Meconium, Meslon, Micro-Morphine, MIR, Mogetic, Morapid, Moraxen, Morcap, Moretal, Morfenil, Morficontin, Morfin, Morfin Meda, Morfina, Morin, Morph, Morphanton, Morphex, Morphgesic, Morphin, Morphini, Morphinum, Morphiphar, Morphitec, Morphium, Morstel, MOS, Moscontin, Morstel, Mortificontin, MS Contin, MS Direct, MS Long, MS Mono, MS/L, MS/S, MSI, MSIR, MSP, MSR, MST Continus, MST Unicontinus, Mundidol, MXL | 
| N: | Neocalmans, Nepenthe, Noceptin, Novo-Morphine | 
| O: | Oblioser, Oglos, OMS Concentrate, Onkomorphin, Opitard, Opsalvina, Oramorph, Ordine | 
| P: | Painbreak, PMS-Morphine | 
| Q: | Q-Med Morphine | 
| R: | RA Morph, Ratio-Morphine, Relimal, Relipain, Repriadol, Rescudose, RMS, Roxanol | 
| S: | S-Morphine, Sevre-Long, Sevredol, Skenan, Slo-Morph, Slovalgin, SRM-Rhotard, Statex, Stellaphine, Stellorphinad, Stellorphine, Substitol | 
| U: | Uni Mist | 
| V: | Vendal | 
| Z: | Zomorph | 
Precursor to other opioids
Pharmaceutical
Morphine is a precursor in the manufacture in a large number of opioids such as dihydromorphine, hydromorphone, nicomorphine, and heroin as well as codeine, which itself has a large family of semi-synthetic derivatives. Morphine is commonly treated with acetic anhydride and ignited to yield heroin. Throughout Europe there is growing acceptance within the medical community of the use of slow release oral morphine as a substitution treatment alternative to methadone and buprenorphine for patients not able to tolerate the side-effects of buprenorphine and methadone. Slow-release oral morphine has been in widespread use for opiate maintenance therapy in Austria, Bulgaria, and Slovakia for many years and it is available on a small scale in many other countries including the UK. The long-acting nature of slow-release morphine mimics that of buprenorphine because the sustained blood levels are relatively flat so there is no "high" per se that a patient would feel but rather a sustained feeling of wellness and avoidance of withdrawal symptoms. For patients sensitive to the side-effects that in part may be a result of the unnatural pharmacological actions of buprenorphine and methadone, slow-release oral morphine formulations offer a promising future for use managing opiate addiction. The pharmacology of heroin and morphine is identical except the two acetyl groups increase the lipid solubility of the heroin molecule, causing heroin to cross the blood–brain barrier and enter the brain more rapidly in injection. Once in the brain, these acetyl groups are removed to yield morphine, which causes the subjective effects of heroin. Thus, heroin may be thought of as a more rapidly acting form of morphine.
Illicit
Illicit morphine is rarely produced from codeine found in over-the-counter cough and pain medicines. This demethylation reaction is often performed using pyridine and hydrochloric acid.
Another source of illicit morphine comes from the extraction of morphine from extended-release morphine products, such as MS-Contin. Morphine can be extracted from these products with simple extraction techniques to yield a morphine solution that can be injected. As an alternative, the tablets can be crushed and snorted, injected or swallowed, although this provides much less euphoria but retains some of the extended-release effect, and the extended-release property is why MS-Contin is used in some countries alongside methadone, dihydrocodeine, buprenorphine, dihydroetorphine, piritramide, levo-alpha-acetylmethadol ( LAAM), and special 24-hour formulations of hydromorphone for maintenance and detoxification of those physically dependent on opioids.
Another means of using or misusing morphine is to use chemical reactions to turn it into heroin or another stronger opioid. Morphine can, using a technique reported in New Zealand (where the initial precursor is codeine) and elsewhere known as home-bake, be turned into what is usually a mixture of morphine, heroin, 3-monoacetylmorphine, 6-monoacetylmorphine, and codeine derivatives like acetylcodeine if the process is using morphine made from demethylating codeine by mixing acetic anhydride or acetyl chloride with the morphine and cooking it in an oven between 80 and 85 °C for several hours.
Since heroin is one of a series of 3,6 diesters of morphine, it is possible to convert morphine to nicomorphine (Vilan) using nicotinic anhydride, dipropanoylmorphine with propionic anhydride, dibutanoylmorphine and disalicyloylmorphine with the respective acid anhydrides. Glacial acetic acid can be used to obtain a mixture high in 6-monoacetylmorphine, niacin (vitamin B3) in some form would be precursor to 6-nicotinylmorphine, salicylic acid may yield the salicyoyl analogue of 6-MAM, and so on.
The clandestine conversion of morphine to ketones of the hydromorphone class or other derivatives like dihydromorphine (Paramorfan), desomorphine (Permonid), metopon, etc. and codeine to hydrocodone (Dicodid), dihydrocodeine (Paracodin), etc. is more involved, time-consuming, requires lab equipment of various types, and usually requires expensive catalysts and large amounts of morphine at the outset and is less common but still has been discovered by authorities in various ways during the last 20 years or so. Dihydromorphine can be acetylated into another 3,6 morphine diester, namely diacetyldihydromorphine (Paralaudin), and hydrocodone into thebacon.
Legal classification
- In the United Kingdom, morphine is listed as a Class A drug under the Misuse of Drugs Act 1971 and a Schedule 2 Controlled Drug under The Misuse of Drugs Regulations 2001.
 - In the United States, morphine is classified as a Schedule II drug under the Controlled Substances Act.
 - In Canada, morphine is classified as a Schedule I drug under the Controlled Drugs and Substances Act.
 - In Australia, morphine is classified as a Schedule 8 drug under the variously titled State and Territory Poisons Acts.
 - In the Netherlands, morphine is classified as a List 1 drug under the Opium Law.
 - In Japan, morphine is classified as a narcotic under the Narcotics and Psychotropics Control Act.
 - Internationally, morphine is a Schedule I drug under the Single Convention on Narcotic Drugs.
 
Access in developing countries
Although morphine is cheap, people in poorer countries often do not have access to it. According to a 2005 estimate by the International Narcotics Control Board, six countries (Australia, Canada, France, Germany, the United Kingdom, and the United States) consume 79 percent of the world’s morphine. The less affluent countries, accounting for 80 percent of the world's population, consumed only about 6 percent of the global morphine supply. Some countries import virtually no morphine, and in others the drug is rarely available even for relieving severe pain while dying.
Experts in pain management attribute the under-distribution of morphine to an unwarranted fear of the drug's potential for addiction and abuse. While morphine is clearly addictive, Western doctors believe it is worthwhile to use the drug and then wean the patient off when the treatment is over.










