Checked content

Special relativity

Related subjects: Physics

About this schools Wikipedia selection

This content from Wikipedia has been selected by SOS Children for suitability in schools around the world. SOS mothers each look after a a family of sponsored children.

Special relativity (SR) (also known as the special theory of relativity or STR) is the physical theory of measurement in inertial frames of reference proposed in 1905 by Albert Einstein (after considerable contributions of Hendrik Lorentz and Henri Poincaré) in the paper " On the Electrodynamics of Moving Bodies". It generalizes Galileo's principle of relativity – that all uniform motion is relative, and that there is no absolute and well-defined state of rest (no privileged reference frames) – from mechanics to all the laws of physics, including both the laws of mechanics and of electrodynamics, whatever they may be. In addition, special relativity incorporates the principle that the speed of light is the same for all inertial observers regardless of the state of motion of the source.

This theory has a wide range of consequences which have been experimentally verified. Special relativity overthrows Newtonian notions of absolute space and time by stating that time and space are perceived differently by observers in different states of motion. It yields the equivalence of matter and energy, as expressed in the mass-energy equivalence formula E = mc2, where c is the speed of light in a vacuum. The predictions of special relativity agree well with Newtonian mechanics in their common realm of applicability, specifically in experiments in which all velocities are small compared to the speed of light.

The theory is termed "special" because it applies the principle of relativity only to inertial frames. Einstein developed general relativity to apply the principle generally, that is, to any frame, and that theory includes the effects of gravity. Strictly, special relativity cannot be applied in accelerating frames or in gravitational fields.

Special relativity reveals that c is not just the velocity of a certain phenomenon, namely the propagation of electromagnetic radiation (light)—but rather a fundamental feature of the way space and time are unified as spacetime. A consequence of this is that it is impossible for any particle that has mass to be accelerated to the speed of light.

For history and motivation, see the article: History of special relativity

Postulates

In his autobiographical notes published in November 1949 Einstein described how he had arrived at the two fundamental postulates on which he based the special theory of relativity. After describing in detail the state of both mechanics and electrodynamics at the beginning of the 20th century, he wrote

"Reflections of this type made it clear to me as long ago as shortly after 1900, i.e., shortly after Planck's trailblazing work, that neither mechanics nor electrodynamics could (except in limiting cases) claim exact validity. Gradually I despaired of the possibility of discovering the true laws by means of constructive efforts based on known facts. The longer and the more desperately I tried, the more I came to the conviction that only the discovery of a universal formal principle could lead us to assured results... How, then, could such a universal principle be found?"

He discerned two fundamental propositions that seemed to be the most assured, regardless of the exact validity of either the (then) known laws of mechanics or electrodynamics. These propositions were (1) the constancy of the velocity of light, and (2) the independence of physical laws (especially the constancy of the velocity of light) from the choice of inertial system. In his initial presentation of special relativity in 1905 he expressed these postulates as:

  • The Principle of Relativity - The laws by which the states of physical systems undergo change are not affected, whether these changes of state be referred to the one or the other of two systems of inertial coordinates in uniform translatory motion.
  • The Principle of Invariant Light Speed - Light in vacuum propagates with the speed c (a fixed constant) in terms of any system of inertial coordinates, regardless of the state of motion of the light source.

It should be noted that the derivation of special relativity depends not only on these two explicit postulates, but also on several tacit assumptions (which are made in almost all theories of physics), including the isotropy and homogeneity of space and the independence of measuring rods and clocks from their past history.

Following Einstein's original presentation of special relativity in 1905, many different sets of postulates have been proposed in various alternative derivations. However, the most common set of postulates remains those employed by Einstein in his original paper. These postulates refer to the axiomatic basis of the Lorentz transformation, which is the essential core of special relativity. In all of Einstein's papers in which he presented derivations of the Lorentz transformation, he based it on these two principles.

In addition to the papers referenced above—which give derivations of the Lorentz transformation and describe the foundations of special relativity—Einstein also wrote at least four papers giving heuristic arguments for the equivalence (and transmutability) of mass and energy. (It should be noted that this equivalence does not follow from the basic premises of special relativity. The first of these was "Does the Inertia of a Body Depend upon its Energy Content?" in 1905. In this and each of his subsequent three papers on this subject, Einstein augmented the two fundamental principles by postulating the relations involving momentum and energy of electromagnetic waves implied by Maxwell's equations (the assumption of which, of course, entails among other things the assumption of the constancy of the speed of light). He acknowledged in his 1907 survey paper on special relativity that it was problematic to rely on Maxwell's equations for the heuristic mass-energy argument, and this is why he consistently based the derivation of Lorentz invariance (the essential core of special relativity) on just the two basic principles of relativity and light-speed invariance. He wrote

"The insight fundamental for the special theory of relativity is this: The assumptions relativity and light speed invariance are compatible if relations of a new type ("Lorentz transformation") are postulated for the conversion of coordinates and times of events... The universal principle of the special theory of relativity is contained in the postulate: The laws of physics are invariant with respect to Lorentz transformations (for the transition from one inertial system to any other arbitrarily chosen inertial system). This is a restricting principle for natural laws..."

Thus many modern treatments of special relativity base it on the single postulate of universal Lorentz covariance, or, equivalently, on the single postulate of Minkowski spacetime.

Consequences

Einstein has said that all of the consequences of special relativity can be derived from examination of the Lorentz transformations.

These transformations, and hence special relativity, lead to different physical predictions than Newtonian mechanics when relative velocities become comparable to the speed of light. The speed of light is so much larger than anything humans encounter that some of the effects predicted by relativity are initially counter-intuitive:

  • Time dilation – the time lapse between two events is not invariant from one observer to another, but is dependent on the relative speeds of the observers' reference frames (e.g., the twin paradox which concerns a twin who flies off in a spaceship traveling near the speed of light and returns to discover that his or her twin sibling has aged much more).
  • Relativity of simultaneity – two events happening in two different locations that occur simultaneously to one observer, may occur at different times to another observer (lack of absolute simultaneity).
  • Lorentz contraction – the dimensions (e.g., length) of an object as measured by one observer may be smaller than the results of measurements of the same object made by another observer (e.g., the ladder paradox involves a long ladder traveling near the speed of light and being contained within a smaller garage).
  • Composition of velocities – velocities (and speeds) do not simply 'add', for example if a rocket is moving at ⅔ the speed of light relative to an observer, and the rocket fires a missile at ⅔ of the speed of light relative to the rocket, the missile does not exceed the speed of light relative to the observer. (In this example, the observer would see the missile travel with a speed of 12/13 the speed of light.)
  • Inertia and momentum – as an object's speed approaches the speed of light from an observer's point of view, its mass appears to increase thereby making it more and more difficult to accelerate it from within the observer's frame of reference.
  • Equivalence of mass and energy, E = mc2 – The energy content of an object at rest with mass m equals m c^{2}. Conservation of energy implies that in any reaction a decrease of the sum of the masses of particles must be accompanied by an increase in kinetic energies of the particles after the reaction. Similarly, the mass of an object can be increased by taking in kinetic energies.

Simultaneity

Event B is simultaneous with A in the green reference frame, but it occurred before in the blue frame, and will occur later in the red frame.

From the first equation of the Lorentz transformation in terms of coordinate differences

\Delta t' = \gamma \left(\Delta t - \frac{v \,\Delta x}{c^{2}} \right)

it is clear that two events that are simultaneous in frame S (satisfying \Delta t = 0\,), are not necessarily simultaneous in another inertial frame S' (satisfying \Delta t' = 0\,). Only if these events are colocal in frame S (satisfying \Delta x = 0\,), will they be simultaneous in another frame S'.

Time dilation and length contraction

Writing the Lorentz transformation and its inverse in terms of coordinate differences we get

\begin{cases}
\Delta t' = \gamma \left(\Delta t - \frac{v \,\Delta x}{c^{2}} \right) \\
\Delta x' = \gamma (\Delta x - v \,\Delta t)\,
\end{cases}

and

\begin{cases}
\Delta t = \gamma \left(\Delta t' + \frac{v \,\Delta x'}{c^{2}} \right) \\
\Delta x = \gamma (\Delta x' + v \,\Delta t')\,
\end{cases}

Suppose we have a clock at rest in the unprimed system S. Two consecutive ticks of this clock are then characterized by \Delta x = 0. If we want to know the relation between the times between these ticks as measured in both systems, we can use the first equation and find:

\Delta t' = \gamma\, \Delta t \qquad ( \, for events satisfying \Delta x = 0 )\,

This shows that the time \Delta t' between the two ticks as seen in the 'moving' frame S' is larger than the time \Delta t between these ticks as measured in the rest frame of the clock. This phenomenon is called time dilation.

Similarly, suppose we have a measuring rod at rest in the unprimed system. In this system, the length of this rod is written as \Delta x. If we want to find the length of this rod as measured in the 'moving' system S', we must make sure to measure the distances x' to the end points of the rod simultaneously in the primed frame S'. In other words, the measurement is characterized by \Delta t' = 0, which we can combine with the fourth equation to find the relation between the lengths \Delta x and \Delta x':

\Delta x' = \frac{\Delta x}{\gamma} \qquad ( \, for events satisfying \Delta t' = 0 )\,

This shows that the length \Delta x' of the rod as measured in the 'moving' frame S' is shorter than the length \Delta x in its own rest frame. This phenomenon is called length contraction or Lorentz contraction.

These effects are not merely appearances; they are explicitly related to our way of measuring time intervals between events which occur at the same place in a given coordinate system (called "co-local" events). These time intervals will be different in another coordinate system moving with respect to the first, unless the events are also simultaneous. Similarly, these effects also relate to our measured distances between separated but simultaneous events in a given coordinate system of choice. If these events are not co-local, but are separated by distance (space), they will not occur at the same spacial distance from each other when seen from another moving coordinate system.

See also the twin paradox.

Causality and prohibition of motion faster than light

Diagram 2. Light cone

In diagram 2 the interval AB is 'time-like'; i.e., there is a frame of reference in which event A and event B occur at the same location in space, separated only by occurring at different times. If A precedes B in that frame, then A precedes B in all frames. It is hypothetically possible for matter (or information) to travel from A to B, so there can be a causal relationship (with A the cause and B the effect).

The interval AC in the diagram is 'space-like'; i.e., there is a frame of reference in which event A and event C occur simultaneously, separated only in space. However there are also frames in which A precedes C (as shown) and frames in which C precedes A. If it were possible for a cause-and-effect relationship to exist between events A and C, then paradoxes of causality would result. For example, if A was the cause, and C the effect, then there would be frames of reference in which the effect preceded the cause. Although this in itself won't give rise to a paradox, one can show that faster than light signals can be sent back into one's own past. A causal paradox can then be constructed by sending the signal if and only if no signal was received previously.

Therefore, one of the consequences of special relativity is that (assuming causality is to be preserved), no information or material object can travel faster than light. On the other hand, the logical situation is not as clear in the case of general relativity, so it is an open question whether there is some fundamental principle that preserves causality (and therefore prevents motion faster than light) in general relativity.

Even without considerations of causality, there are other strong reasons why faster-than-light travel is forbidden by special relativity. For example, if a constant force is applied to an object for a limitless amount of time, then integrating F = dp/dt gives a momentum that grows without bound, but this is simply because p=m\gamma v approaches infinity as v approaches c. To an observer who is not accelerating, it appears as though the object's inertia is increasing, so as to produce a smaller acceleration in response to the same force. This behaviour is in fact observed in particle accelerators.

See also the Tachyonic Antitelephone.

Composition of velocities

If the observer in S sees an object moving along the x axis at velocity w, then the observer in the S' system, a frame of reference moving at velocity v in the x direction with respect to S, will see the object moving with velocity w' where

w'=\frac{w-v}{1-wv/c^2}.

This equation can be derived from the space and time transformations above. Notice that if the object were moving at the speed of light in the S system (i.e. w=c), then it would also be moving at the speed of light in the S' system. Also, if both w and v are small with respect to the speed of light, we will recover the intuitive Galilean transformation of velocities: w' \approx w-v.

Mass, momentum, and energy

In addition to modifying notions of space and time, special relativity forces one to reconsider the concepts of mass, momentum, and energy, all of which are important constructs in Newtonian mechanics. Special relativity shows, in fact, that these concepts are all different aspects of the same physical quantity in much the same way that it shows space and time to be interrelated.

There are a couple of (equivalent) ways to define momentum and energy in SR. One method uses conservation laws. If these laws are to remain valid in SR they must be true in every possible reference frame. However, if one does some simple thought experiments using the Newtonian definitions of momentum and energy one sees that these quantities are not conserved in SR. One can rescue the idea of conservation by making some small modifications to the definitions to account for relativistic velocities. It is these new definitions which are taken as the correct ones for momentum and energy in SR.

Given an object of invariant mass m traveling at velocity v the energy and momentum are given (and even defined) by

E = \gamma m c^2 \,\!
\vec p = \gamma m \vec v \,\!

where γ (the Lorentz factor) is given by

\gamma = \frac{1}{\sqrt{1 - \beta^2}}

where \beta = \frac{v}{c} is the ratio of the velocity and the speed of light. The term γ occurs frequently in relativity, and comes from the Lorentz transformation equations.

Relativistic energy and momentum can be related through the formula

 E^2 - (p c)^2 = (m c^2)^2 \,\!

which is referred to as the relativistic energy-momentum equation. It is interesting to observe that while the energy  E\, and the momentum  p\, are observer dependent (vary from frame to frame) the quantity  E^2 - (p c)^2 = (m c^2)^2 \,\! is observer independent.

For velocities much smaller than those of light, γ can be approximated using a Taylor series expansion and one finds that

 E \approx m c^2 + \begin{matrix} \frac{1}{2} \end{matrix} m v^2 \,\!
\vec p \approx m \vec v \,\!

Barring the first term in the energy expression (discussed below), these formulas agree exactly with the standard definitions of Newtonian kinetic energy and momentum. This is as it should be, for special relativity must agree with Newtonian mechanics at low velocities.

Looking at the above formulas for energy, one sees that when an object is at rest (v = 0 and γ = 1) there is a non-zero energy remaining:

E_{rest} = m c^2 \,\!

This energy is referred to as rest energy. The rest energy does not cause any conflict with the Newtonian theory because it is a constant and, as far as kinetic energy is concerned, it is only differences in energy which are meaningful.

Taking this formula at face value, we see that in relativity, mass is simply another form of energy. In 1927 Einstein remarked about special relativity:

Under this theory mass is not an unalterable magnitude, but a magnitude dependent on (and, indeed, identical with) the amount of energy.

This formula becomes important when one measures the masses of different atomic nuclei. By looking at the difference in masses, one can predict which nuclei have extra stored energy that can be released by nuclear reactions, providing important information which was useful in the development of nuclear energy and, consequently, the nuclear bomb. The implications of this formula on 20th-century life have made it one of the most famous equations in all of science.

Relativistic mass

Introductory physics courses and some older textbooks on special relativity sometimes define a relativistic mass which increases as the velocity of a body increases. According to the geometric interpretation of special relativity, this is often deprecated and the term 'mass' is reserved to mean invariant mass and is thus independent of the inertial frame, i.e., invariant.

Using the relativistic mass definition, the mass of an object may vary depending on the observer's inertial frame in the same way that other properties such as its length may do so. Defining such a quantity may sometimes be useful in that doing so simplifies a calculation by restricting it to a specific frame. For example, consider a body with an invariant mass m moving at some velocity relative to an observer's reference system. That observer defines the relativistic mass of that body as:

M = \gamma m\!

"Relativistic mass" should not be confused with the "longitudinal" and "transverse mass" definitions that were used around 1900 and that were based on an inconsistent application of the laws of Newton: those used f=ma for a variable mass, while relativistic mass corresponds to Newton's dynamic mass in which

p=Mv \!

and

f=dp/dt\!.

Note also that the body does not actually become more massive in its proper frame, since the relativistic mass is only different for an observer in a different frame. The only mass that is frame independent is the invariant mass. When using the relativistic mass, the applicable reference frame should be specified if it isn't already obvious or implied. It also goes almost without saying that the increase in relativistic mass does not come from an increased number of atoms in the object. Instead, the relativistic mass of each atom and subatomic particle has increased.

Physics textbooks sometimes use the relativistic mass as it allows the students to utilize their knowledge of Newtonian physics to gain some intuitive grasp of relativity in their frame of choice (usually their own!). "Relativistic mass" is also consistent with the concepts " time dilation" and " length contraction".

Force

The classical definition of ordinary force f is given by Newton's Second Law in its original form:

\vec f = d\vec p/dt

and this is valid in relativity.

Many modern textbooks rewrite Newton's Second Law as

\vec f = M \vec a

This form is not valid in relativity or in other situations where the relativistic mass M is varying.

This formula can be replaced in the relativistic case by

\vec f = \gamma m \vec a + \gamma^3 m \frac{\vec v \cdot \vec a}{c^2} \vec v

As seen from the equation, ordinary force and acceleration vectors are not necessarily parallel in relativity.

However the four-vector expression relating four-force F^\mu\, to invariant mass m and four-acceleration A^\mu\, restores the same equation form

F^\mu = mA^\mu\,

The geometry of space-time

SR uses a 'flat' 4-dimensional Minkowski space, which is an example of a space-time. This space, however, is very similar to the standard 3 dimensional Euclidean space, and fortunately by that fact, very easy to work with.

The differential of distance (ds) in cartesian 3D space is defined as:

 ds^2 = dx_1^2 + dx_2^2 + dx_3^2

where (dx_1,dx_2,dx_3) are the differentials of the three spatial dimensions. In the geometry of special relativity, a fourth dimension is added, derived from time, so that the equation for the differential of distance becomes:

 ds^2 = dx_1^2 + dx_2^2 + dx_3^2 - c^2 dt^2

If we wished to make the time coordinate look like the space coordinates, we could treat time as imaginary: x4 = ict . In this case the above equation becomes symmetric:

 ds^2 = dx_1^2 + dx_2^2 + dx_3^2 + dx_4^2

This suggests what is in fact a profound theoretical insight as it shows that special relativity is simply a rotational symmetry of our space-time, very similar to rotational symmetry of Euclidean space. Just as Euclidean space uses a Euclidean metric, so space-time uses a Minkowski metric. Basically, SR can be stated in terms of the invariance of space-time interval (between any two events) as seen from any inertial reference frame. All equations and effects of special relativity can be derived from this rotational symmetry (the Poincaré group) of Minkowski space-time. According to Misner (1971 §2.3), ultimately the deeper understanding of both special and general relativity will come from the study of the Minkowski metric (described below) rather than a "disguised" Euclidean metric using ict as the time coordinate.

If we reduce the spatial dimensions to 2, so that we can represent the physics in a 3-D space

 ds^2 = dx_1^2 + dx_2^2 - c^2 dt^2

We see that the null geodesics lie along a dual-cone:

Sr1.svg

defined by the equation

 ds^2 = 0 = dx_1^2 + dx_2^2 - c^2 dt^2

or

 dx_1^2 + dx_2^2 = c^2 dt^2

Which is the equation of a circle with r=c×dt. If we extend this to three spatial dimensions, the null geodesics are the 4-dimensional cone:

Null spherical space (special relativity).jpg
 ds^2 = 0 = dx_1^2 + dx_2^2 + dx_3^2 - c^2 dt^2
 dx_1^2 + dx_2^2 + dx_3^2 = c^2 dt^2

This null dual-cone represents the "line of sight" of a point in space. That is, when we look at the stars and say "The light from that star which I am receiving is X years old", we are looking down this line of sight: a null geodesic. We are looking at an event d = \sqrt{x_1^2+x_2^2+x_3^2} meters away and d/c seconds in the past. For this reason the null dual cone is also known as the 'light cone'. (The point in the lower left of the picture below represents the star, the origin represents the observer, and the line represents the null geodesic "line of sight".)

Sr1.svg

The cone in the -t region is the information that the point is 'receiving', while the cone in the +t section is the information that the point is 'sending'.

The geometry of Minkowski space can be depicted using Minkowski diagrams, which are also useful in understanding many of the thought-experiments in special relativity.

Physics in spacetime

Here, we see how to write the equations of special relativity in a manifestly Lorentz covariant form. The position of an event in spacetime is given by a contravariant four vector whose components are:

x^\nu=\left(t, x, y, z\right)

That is, x^0 = t and x^1 = x and x^2 = y and x^3 = z. Superscripts are contravariant indices in this section rather than exponents except when they indicate a square. Subscripts are covariant indices which also range from zero to three as with the spacetime gradient of a field φ:

\partial_0 \phi = \frac{\partial \phi}{\partial t}, \quad \partial_1 \phi = \frac{\partial \phi}{\partial x}, \quad \partial_2 \phi = \frac{\partial \phi}{\partial y}, \quad \partial_3 \phi = \frac{\partial \phi}{\partial z}.

Metric and transformations of coordinates

Having recognised the four-dimensional nature of spacetime, we are driven to employ the Minkowski metric, η, given in components (valid in any inertial reference frame) as:

\eta_{\alpha\beta} = \begin{pmatrix}
-c^2 & 0 & 0 & 0\\
0 & 1 & 0 & 0\\
0 & 0 & 1 & 0\\
0 & 0 & 0 & 1
\end{pmatrix}

Its reciprocal is:

\eta^{\alpha\beta} = \begin{pmatrix}
-1/c^2 & 0 & 0 & 0\\
0 & 1 & 0 & 0\\
0 & 0 & 1 & 0\\
0 & 0 & 0 & 1
\end{pmatrix}

Then we recognize that coordinate transformations between inertial reference frames are given by the Lorentz transformation tensor Λ. For the special case of motion along the x-axis, we have:

\Lambda^{\mu'}{}_\nu = \begin{pmatrix}
\gamma & -\beta\gamma/c & 0 & 0\\
-\beta\gamma c & \gamma & 0 & 0\\
0 & 0 & 1 & 0\\
0 & 0 & 0 & 1
\end{pmatrix}

which is simply the matrix of a boost (like a rotation) between the x and t coordinates. Where μ' indicates the row and ν indicates the column. Also, β and γ are defined as:

\beta = \frac{v}{c},\ \gamma = \frac{1}{\sqrt{1-\beta^2}}.

More generally, a transformation from one inertial frame (ignoring translations for simplicity) to another must satisfy:

\eta_{\alpha\beta} = \eta_{\mu'\nu'} \Lambda^{\mu'}{}_\alpha \Lambda^{\nu'}{}_\beta \!

where there is an implied summation of \mu' \! and \nu' \! from 0 to 3 on the right-hand side in accordance with the Einstein summation convention. The Poincaré group is the most general group of transformations which preserves the Minkowski metric and this is the physical symmetry underlying special relativity.

All proper physical quantities are given by tensors. So to transform from one frame to another, we use the well-known tensor transformation law

T^{\left[i_1',i_2',\dots,i_p'\right]}_{\left[j_1',j_2',\dots,j_q'\right]} = 
\Lambda^{i_1'}{}_{i_1}\Lambda^{i_2'}{}_{i_2}\cdots\Lambda^{i_p'}{}_{i_p}
\Lambda_{j_1'}{}^{j_1}\Lambda_{j_2'}{}^{j_2}\cdots\Lambda_{j_q'}{}^{j_q}
T^{\left[i_1,i_2,\dots,i_p\right]}_{\left[j_1,j_2,\dots,j_q\right]}

Where \Lambda_{j_k'}{}^{j_k} \! is the reciprocal matrix of \Lambda^{j_k'}{}_{j_k} \!.

To see how this is useful, we transform the position of an event from an unprimed coordinate system S to a primed system S', we calculate


\begin{pmatrix}
t'\\ x'\\ y'\\ z'
\end{pmatrix} = x^{\mu'}=\Lambda^{\mu'}{}_\nu x^\nu=
\begin{pmatrix}
\gamma & -\beta\gamma/c & 0 & 0\\
-\beta\gamma c & \gamma & 0 & 0\\
0 & 0 & 1 & 0\\
0 & 0 & 0 & 1
\end{pmatrix}
\begin{pmatrix}
t\\ x\\ y\\ z
\end{pmatrix} =
\begin{pmatrix}
\gamma t- \gamma\beta x/c\\
\gamma x - \beta \gamma ct \\ y\\ z
\end{pmatrix}

which is the Lorentz transformation given above. All tensors transform by the same rule.

The squared length of the differential of the position four-vector dx^\mu \! constructed using

\mathbf{dx}^2 = \eta_{\mu\nu}\,dx^\mu \,dx^\nu = -(c \cdot dt)^2+(dx)^2+(dy)^2+(dz)^2\,

is an invariant. Being invariant means that it takes the same value in all inertial frames, because it is a scalar (0 rank tensor), and so no Λ appears in its trivial transformation. Notice that when the line element \mathbf{dx}^2 is negative that d\tau=\sqrt{-\mathbf{dx}^2} / c is the differential of proper time, while when \mathbf{dx}^2 is positive, \sqrt{\mathbf{dx}^2} is differential of the proper distance.

The primary value of expressing the equations of physics in a tensor form is that they are then manifestly invariant under the Poincaré group, so that we do not have to do a special and tedious calculation to check that fact. Also in constructing such equations we often find that equations previously thought to be unrelated are, in fact, closely connected being part of the same tensor equation.

Velocity and acceleration in 4D

Recognising other physical quantities as tensors also simplifies their transformation laws. First note that the velocity four-vector Uμ is given by

U^\mu = \frac{dx^\mu}{d\tau} = \begin{pmatrix} \gamma  \\ \gamma v_x \\ \gamma v_y \\ \gamma v_z \end{pmatrix}

Recognising this, we can turn the awkward looking law about composition of velocities into a simple statement about transforming the velocity four-vector of one particle from one frame to another. Uμ also has an invariant form:

{\mathbf U}^2 = \eta_{\nu\mu} U^\nu U^\mu = -c^2 .

So all velocity four-vectors have a magnitude of c. This is an expression of the fact that there is no such thing as being at coordinate rest in relativity: at the least, you are always moving forward through time. The acceleration 4-vector is given by A^\mu = d{\mathbf U^\mu}/d\tau. Given this, differentiating the above equation by τ produces

2\eta_{\mu\nu}A^\mu U^\nu = 0. \!

So in relativity, the acceleration four-vector and the velocity four-vector are orthogonal.

Momentum in 4D

The momentum and energy combine into a covariant 4-vector:

p_\nu = m \cdot \eta_{\nu\mu} U^\mu =  \begin{pmatrix}
-E \\ p_x\\ p_y\\ p_z\end{pmatrix}.

where m is the invariant mass.

The invariant magnitude of the momentum 4-vector is:

\mathbf{p}^2 = \eta^{\mu\nu}p_\mu p_\nu = -(E/c)^2 + p^2 .

We can work out what this invariant is by first arguing that, since it is a scalar, it doesn't matter which reference frame we calculate it, and then by transforming to a frame where the total momentum is zero.

\mathbf{p}^2 = - (E_{rest}/c)^2 = - (m \cdot c)^2 .

We see that the rest energy is an independent invariant. A rest energy can be calculated even for particles and systems in motion, by translating to a frame in which momentum is zero.

The rest energy is related to the mass according to the celebrated equation discussed above:

E_{rest} = m c^2\,

Note that the mass of systems measured in their centre of momentum frame (where total momentum is zero) is given by the total energy of the system in this frame. It may not be equal to the sum of individual system masses measured in other frames.

Force in 4D

To use Newton's third law of motion, both forces must be defined as the rate of change of momentum with respect to the same time coordinate. That is, it requires the 3D force defined above. Unfortunately, there is no tensor in 4D which contains the components of the 3D force vector among its components.

If a particle is not traveling at c, one can transform the 3D force from the particle's co-moving reference frame into the observer's reference frame. This yields a 4-vector called the four-force. It is the rate of change of the above energy momentum four-vector with respect to proper time. The covariant version of the four-force is:

F_\nu = \frac{d p_{\nu}}{d \tau} =  \begin{pmatrix} -{d E}/{d \tau} \\ {d p_x}/{d \tau} \\ {d p_y}/{d \tau} \\ {d p_z}/{d \tau} \end{pmatrix}

where \tau \, is the proper time.

In the rest frame of the object, the time component of the four force is zero unless the " invariant mass" of the object is changing in which case it is the negative of that rate of change times c2. In general, though, the components of the four force are not equal to the components of the three-force, because the three force is defined by the rate of change of momentum with respect to coordinate time, i.e. \frac{d p}{d t} while the four force is defined by the rate of change of momentum with respect to proper time, i.e.  \frac{d p} {d \tau} .

In a continuous medium, the 3D density of force combines with the density of power to form a covariant 4-vector. The spatial part is the result of dividing the force on a small cell (in 3-space) by the volume of that cell. The time component is the negative of the power transferred to that cell divided by the volume of the cell. This will be used below in the section on electromagnetism.

Relativity and unifying electromagnetism

Theoretical investigation in classical electromagnetism led to the discovery of wave propagation. Equations generalizing the electromagnetic effects found that finite propagation-speed of the E and B fields required certain behaviors on charged particles. The general study of moving charges forms the Liénard–Wiechert potential, which is a step towards special relativity.

The Lorentz transformation of the electric field of a moving charge into a non-moving observer's reference frame results in the appearance of a mathematical term commonly called the magnetic field. Conversely, the magnetic field generated by a moving charge disappears and becomes a purely electrostatic field in a comoving frame of reference. Maxwell's equations are thus simply an empirical fit to special relativistic effects in a classical model of the Universe. As electric and magnetic fields are reference frame dependent and thus intertwined, one speaks of electromagnetic fields. Special relativity provides the transformation rules for how an electromagnetic field in one inertial frame appears in another inertial frame.

Electromagnetism in 4D

Maxwell's equations in the 3D form are already consistent with the physical content of special relativity. But we must rewrite them to make them manifestly invariant.

The charge density \rho \! and current density [J_x,J_y,J_z] \! are unified into the current-charge 4-vector:

J^\mu = \begin{pmatrix}
\rho  \\ J_x\\ J_y\\ J_z\end{pmatrix}.

The law of charge conservation,  \frac{\partial \rho} {\partial t} + \nabla \cdot \mathbf{J} = 0, becomes:

\partial_\mu J^\mu = 0. \!

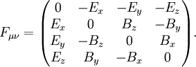
The electric field [E_x,E_y,E_z] \! and the magnetic induction [B_x,B_y,B_z] \! are now unified into the (rank 2 antisymmetric covariant) electromagnetic field tensor:


  F_{\mu\nu} =
  \begin{pmatrix}
   0     & -E_x & -E_y & -E_z \\
   E_x & 0      & B_z   & -B_y    \\
   E_y & -B_z    & 0      & B_x   \\
   E_z & B_y   & -B_x    & 0       
  \end{pmatrix}.

The density, f_\mu \!, of the Lorentz force, \mathbf{f} = \rho \mathbf{E} + \mathbf{J} \times \mathbf{B}, exerted on matter by the electromagnetic field becomes:

f_\mu = F_{\mu\nu}J^\nu .\!

Faraday's law of induction, \nabla \times \mathbf{E} = -\frac{\partial \mathbf{B}} {\partial t}, and Gauss's law for magnetism, \nabla \cdot \mathbf{B} = 0, combine to form:

\partial_\lambda F_{\mu\nu}+ \partial _\mu F_{\nu \lambda}+
  \partial_\nu F_{\lambda \mu} = 0. \!

Although there appear to be 64 equations here, it actually reduces to just four independent equations. Using the antisymmetry of the electromagnetic field one can either reduce to an identity (0=0) or render redundant all the equations except for those with λ,μ,ν = either 1,2,3 or 2,3,0 or 3,0,1 or 0,1,2.

The electric displacement [D_x,D_y,D_z] \! and the magnetic field [H_x,H_y,H_z] \! are now unified into the (rank 2 antisymmetric contravariant) electromagnetic displacement tensor:


  \mathcal{D}^{\mu\nu} =
  \begin{pmatrix}
   0     & D_x & D_y & D_z \\
   -D_x & 0      & H_z   & -H_y    \\
   -D_y & -H_z    & 0      & H_x   \\
   -D_z & H_y   & -H_x    & 0       
  \end{pmatrix}.

Ampère's law, \nabla \times \mathbf{H} = \mathbf{J} + \frac{\partial \mathbf{D}} {\partial t}, and Gauss's law, \nabla \cdot \mathbf{D} = \rho, combine to form:

\partial_\nu \mathcal{D}^{\mu \nu} = J^{\mu}. \!

In a vacuum, the constitutive equations are:

\mu_0 \mathcal{D}^{\mu\nu} = \eta^{\mu\alpha} \eta^{\nu\beta} F_{\alpha\beta}.

Antisymmetry reduces these 16 equations to just six independent equations.

The energy density of the electromagnetic field combines with Poynting vector and the Maxwell stress tensor to form the 4D electromagnetic stress-energy tensor. It is the flux (density) of the momentum 4-vector and as a rank 2 mixed tensor it is:

T_\alpha^\pi = F_{\alpha\beta} \mathcal{D}^{\pi\beta} - \frac{1}{4} \delta_\alpha^\pi F_{\mu\nu} \mathcal{D}^{\mu\nu}

where \delta_\alpha^\pi is the Kronecker delta. When upper index is lowered with η, it becomes symmetric and is part of the source of the gravitational field.

The conservation of linear momentum and energy by the electromagnetic field is expressed by:

f_\mu + \partial_\nu T_\mu^\nu = 0\!

where f_\mu \! is again the density of the Lorentz force. This equation can be deduced from the equations above (with considerable effort).

Status

Special relativity is accurate only when gravitational potential is much less than c2; in a strong gravitational field one must use general relativity (which becomes special relativity at the limit of weak field). At very small scales, such as at the Planck length and below, quantum effects must be taken into consideration resulting in quantum gravity. However, at macroscopic scales and in the absence of strong gravitational fields, special relativity is experimentally tested to extremely high degree of accuracy (10-20) and thus accepted by the physics community. Experimental results which appear to contradict it are not reproducible and are thus widely believed to be due to experimental errors.

Because of the freedom one has to select how one defines units of length and time in physics, it is possible to make one of the two postulates of relativity a tautological consequence of the definitions, but one cannot do this for both postulates simultaneously, as when combined they have consequences which are independent of one's choice of definition of length and time.

Special relativity is mathematically self-consistent, and it is an organic part of all modern physical theories, most notably quantum field theory, string theory, and general relativity (in the limiting case of negligible gravitational fields).

Newtonian mechanics mathematically follows from special relativity at small velocities (compared to the speed of light) - thus Newtonian mechanics can be considered as a special relativity of slow moving bodies. See Status of special relativity for a more detailed discussion.

A few key experiments can be mentioned that led to special relativity:

  • The Trouton–Noble experiment showed that the torque on a capacitor is independent on position and inertial reference frame – such experiments led to the first postulate
  • The famous Michelson-Morley experiment gave further support to the postulate that detecting an absolute reference velocity was not achievable. It should be stated here that, contrary to many alternative claims, it said little about the invariance of the speed of light with respect to the source and observer's velocity, as both source and observer were travelling together at the same velocity at all times.

A number of experiments have been conducted to test special relativity against rival theories. These include:

  • Kaufmann-Bucherer-Neumann experiments – electron deflection in approximate agreement with Lorentz-Einstein prediction.
  • Fizeau experiment - speed of light in moving media in accordance with relativistic velocity addition
  • Kennedy–Thorndike experiment – time dilation in accordance with Lorentz transformations
  • Rossi-Hall experiment – relativistic effects on a fast-moving particle's half-life
  • Experiments to test emitter theory demonstrated that the speed of light is independent of the speed of the emitter.
  • Hammar experiment – no "aether flow obstruction"

In addition, particle accelerators routinely accelerate and measure the properties of particles moving at near the speed of light, where their behaviour is completely consistent with relativity theory and inconsistent with the earlier Newtonian mechanics. These machines would simply not work if they were not engineered according to relativistic principles.

Retrieved from " http://en.wikipedia.org/w/index.php?title=Special_relativity&oldid=228004350"