Checked content

Van der Waals force

Related subjects: Chemistry

About this schools Wikipedia selection

This selection is made for schools by a children's charity read more. Sponsor a child to make a real difference.

The van der Waals equation is an equation of state that can be derived from a special form of the potential between a pair of molecules (hard-sphere repulsion and R-6 van der Waals attraction).

In physical chemistry, the name van der Waals force refers to the attractive or repulsive forces between molecules (or between parts of the same molecule) other than those due to covalent bonds or to the electrostatic interaction of ions with one another or with neutral molecules. The term includes: dipole–dipole, dipole-induced dipole and London (instantaneous induced dipole-induced dipole) forces. It is also sometimes used loosely as a synonym for the totality of intermolecular forces. Van der Waals forces are relatively weak compared to normal chemical bonds, but play a fundamental role in fields as diverse as supramolecular chemistry, structural biology, polymer science, nanotechnology, surface science, and condensed matter physics.

Definition

Van der Waals forces include momentary attractions between molecules, diatomic free elements, and individual atoms. They differ from covalent and ionic bonding in that they are not stable, but are caused by momentary polarization of particles. Because electrons have no fixed position in the structure of an atom or molecule, but rather are distributed in a probabilistic fashion based on quantum probability, there is a non-negligible chance that the electrons are not evenly distributed and thus their electrical charges are not evenly distributed. See Schrodinger Equation for the theories on wave functions and descriptions of position and velocity of quantum particles.

To explain this, we refer to the article on intermolecular forces, where it is discussed that an intermolecular force has four major contributions. In general an intermolecular potential has a repulsive part, prohibiting the collapse of molecular complexes, and an attractive part. The attractive part, in turn, consists of three distinct contributions:

  1. The electrostatic interactions between charges (in the case of molecular ions), dipoles (in the case of molecules without inversion centre), quadrupoles (all molecules with symmetry lower than cubic), and in general between permanent multipoles. The electrostatic interaction is sometimes called Keesom interaction or Keesom force after Willem Hendrik Keesom.
  2. The second source of attraction is induction (also known as polarization), which is the interaction between a permanent multipole on one molecule with an induced multipole on another. This interaction is sometimes measured in debyes after Peter J.W. Debye.
  3. The third attraction is usually named after Fritz London who himself called it dispersion. This is the only attraction experienced by noble gas atoms, but it is operative between any pair of molecules, irrespective of their symmetry.

Returning to nomenclature: some texts mean by the van der Waals force the totality of forces (including repulsion), others mean all the attractive forces (and then sometimes distinguish van der Waals-Keesom, van der Waals-Debye, and van der Waals-London), and, finally some use the term "van der Waals force" solely as a synonym for the London/dispersion force. So, if you come across the term "van der Waals force", it is important to ascertain to which school of thought the author belongs.

All intermolecular/van der Waals forces are anisotropic (except those between two noble gas atoms), which means that they depend on the relative orientation of the molecules. The induction and dispersion interactions are always attractive, irrespective of orientation, but the electrostatic interaction changes sign upon rotation of the molecules. That is, the electrostatic force can be attractive or repulsive, depending on the mutual orientation of the molecules. When molecules are in thermal motion, as they are in the gas and liquid phase, the electrostatic force is averaged out to a large extent, because the molecules thermally rotate and thus probe both repulsive and attractive parts of the electrostatic force. Sometimes this effect is expressed by the statement that "random thermal motion around room temperature can usually overcome or disrupt them" (which refers to the electrostatic component of the van der Waals force). Clearly, the thermal averaging effect is much less pronounced for the attractive induction and dispersion forces.

The Lennard-Jones potential is often used as an approximate model for the isotropic part of a total (repulsion plus attraction) van der Waals force as a function of distance.

Van der Waals forces are responsible for certain cases of pressure broadening ( van der Waals broadening) of spectral lines and the formation of van der Waals molecules.

See this URL for an introductory description of the van der Waals force (as a sum of attractive components only).

London dispersion force

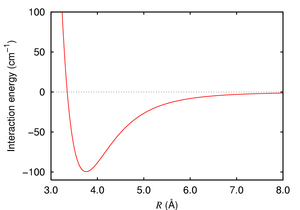
Interaction energy of argon dimer. The long-range part is due to London dispersion forces

London dispersion forces, named after the German-American physicist Fritz London, are weak intermolecular forces that arise from the attractive force between transient dipoles (or better multipoles) in molecules without permanent multipole moments. London dispersion forces are also known as dispersion forces, London forces, or induced dipole-dipole forces.

London forces can be exhibited by nonpolar molecules because electron density moves about a molecule probabilistically (see quantum mechanical theory of dispersion forces). There is a high chance that the electron density will not be evenly distributed throughout a nonpolar molecule. When an uneven distribution occurs, a temporary multipole is created. This multipole may interact with other nearby multipoles. London forces are also present in polar molecules, but they are usually only a small part of the total interaction force.

Electron density in a molecule may be redistributed by proximity to another multipole. Electrons will gather on the side of a molecule that faces a positive charge and will retreat from a negative charge. Hence, a transient multipole can be produced by a nearby polar molecule, or even by a transient multipole in another nonpolar molecule.

In vacuum, London forces are weaker than other intermolecular forces such as ionic interactions, hydrogen bonding, or permanent dipole-dipole interactions.

This phenomenon is the only attractive intermolecular force at large distances present between neutral atoms (e.g., helium), and is the major attractive force between non-polar molecules, (e.g., nitrogen or methane). Without London forces, there would be no attractive force between noble gas atoms, and they could not then be obtained in a liquid form.

London forces become stronger as the atom (or molecule) in question becomes larger. This is due to the increased polarizability of molecules with larger, more dispersed electron clouds. This trend is exemplified by the halogens (from smallest to largest: F2, Cl2, Br2, I2). Fluorine and chlorine are gases at room temperature, bromine is a liquid, and iodine is a solid. The London forces also become stronger with larger amounts of surface contact. Greater surface area means closer interaction between different molecules.

Relation to the Casimir effect

The London-van der Waals forces is related to the Casimir effect for dielectric media, the former the microscopic description of the latter bulk property. The first detailed calculations of this were done in 1955 by E. M. Lifshitz.

For further investigation, one may consult the University of St. Andrews' levitation work in a popular article: Science Journal: New way to levitate objects discovered, and in a more scholarly version: New Journal of Physics: Quantum levitation by left-handed metamaterials, which relate the Casimir effect to the gecko and how the reversal of the Casimir effect can result in physical levitation of tiny objects.

Use by animals

Gecko climbing glass using its natural setæ

The ability of geckos to climb on sheer surfaces has been attributed to van der Waals force. A recent study suggests that water molecules of roughly monolayer thickness (present on all surfaces) also play a role.. Nevertheless, a gecko can hang on a glass surface using only one toe. Efforts continue to create a synthetic "gecko tape" that exploits this knowledge. So far, research has produced some promising results - early research yielded an adhesive tape product, which only obtains a fraction of the forces measured from the natural material, and new research are being developed with the goal of featuring 200 times the adhesive forces of the natural material. Researchers at Rensselaer Polytechnic Institute and the University of Akron announced in a paper published in the June 18–22, 2007 issue of the Proceedings of the National Academy of Sciences that they have created a synthetic “gecko tape” with four times the sticking power of a natural gecko foot.

Researchers at Stanford University and Carnegie Mellon University recently developed a gecko-like robot which uses synthetic setae to climb walls.

Retrieved from " http://en.wikipedia.org/w/index.php?title=Van_der_Waals_force&oldid=198688837"