
Vitamin D
About this schools Wikipedia selection
This content from Wikipedia has been selected by SOS Children for suitability in schools around the world. With SOS Children you can choose to sponsor children in over a hundred countries
Vitamin D is a group of fat-soluble prohormones, the two major forms of which are vitamin D2 (or ergocalciferol) and vitamin D3 (or cholecalciferol). The term vitamin D also refers to metabolites and other analogues of these substances. Vitamin D3 is produced in skin exposed to sunlight, specifically ultraviolet B radiation.
Vitamin D plays an important role in the maintenance of organ systems.
- Vitamin D regulates the calcium and phosphorus levels in the blood by promoting their absorption from food in the intestines, and by promoting re-absorption of calcium in the kidneys.
 - It promotes bone formation and mineralization and is essential in the development of an intact and strong skeleton. However, at very high levels it will promote the resorption of bone.
 - It inhibits parathyroid hormone secretion from the parathyroid gland.
 - Vitamin D affects the immune system by promoting phagocytosis, anti-tumor activity, and immunomodulatory functions.
 
Vitamin D deficiency can result from inadequate intake coupled with inadequate sunlight exposure, disorders that limit its absorption, conditions that impair conversion of vitamin D into active metabolites, such as liver or kidney disorders, or, rarely, by a number of hereditary disorders. Deficiency results in impaired bone mineralization, and leads to bone softening diseases, rickets in children and osteomalacia in adults, and possibly contributes to osteoporosis. Research has indicated that vitamin D deficiency is linked to colon cancer and more recently, to breast cancer. Conflicting evidence links vitamin D deficiency to other forms of cancer. Low levels of vitamin D appear to be associated with higher risk of heart attack in men, according to a report in the June 9, 2008 issue of Archives of Internal Medicine.
Forms
Several forms ( vitamers) of vitamin D have been discovered. The two major forms are vitamin D2 or ergocalciferol, and vitamin D3 or cholecalciferol.
- Vitamin D1: molecular compound of ergocalciferol with lumisterol, 1:1
 - Vitamin D2: ergocalciferol or calciferol (made from ergosterol)
 - Vitamin D3: cholecalciferol (made from 7-dehydrocholesterol in the skin).
 - Vitamin D4: 22-dihydroergocalciferol
 - Vitamin D5: sitocalciferol (made from 7-dehydrositosterol)
 
Chemically, the various forms of vitamin D are secosteroids; i.e., broken-open steroids. The structural difference between vitamin D2 and vitamin D3 is in their side chains. The side chain of D2 contains a double bond between carbons 22 and 23, and a methyl group on carbon 24.
Vitamin D2 is derived from fungal and plant sources, and is not produced by the human body. Vitamin D3 is derived from animal sources and is made in the skin when 7-dehydrocholesterol reacts with UVB ultraviolet light at wavelengths between 270–300 nm, with peak synthesis occurring between 295-297 nm. These wavelengths are present in sunlight at sea level when the sun is more than 45° above the horizon, or when the UV index is greater than 3. At this solar elevation, which occurs daily within the tropics, daily during the spring and summer seasons in temperate regions, and almost never within the arctic circles, adequate amounts of vitamin D3 can be made in the skin after only ten to fifteen minutes of sun exposure at least two times per week to the face, arms, hands, or back without sunscreen. With longer exposure to UVB rays, an equilibrium is achieved in the skin, and the vitamin simply degrades as fast as it is generated.
In humans, D3 is as effective as D2 at increasing the levels of vitamin D hormone in circulation; However, in some species, such as rats, vitamin D2 is more effective than D3. Both vitamin D2 and D3 are used for human nutritional supplementation, and pharmaceutical forms include calcitriol (1alpha, 25-dihydroxycholecalciferol), doxercalciferol and calcipotriene.
Biochemistry
Vitamin D is a prohormone, meaning that it has no hormone activity itself, but is converted to the active hormone 1,25-D through a tightly regulated synthesis mechanism. Production of vitamin D in nature always appears to require the presence of some UV light; even vitamin D in foodstuffs is ultimately derived from organisms, from mushrooms to animals, which are not able to synthesize it except through the action of sunlight at some point in the synthetic chain. For example, fish contain vitamin D only because they ultimately exist on calories from ocean algae which synthesize vitamin D in shallow waters from the action of solar UV.
Production in the skin
The skin consists of two primary layers: the inner layer called the dermis, composed largely of connective tissue, and the outer, thinner epidermis. The epidermis consists of five strata; from outer to inner they are: the stratum corneum, stratum lucidum, stratum granulosum, stratum spinosum, and stratum basale.
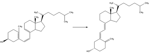
Vitamin D3 is produced photochemically in the skin from 7-dehydrocholesterol. The highest concentrations of 7-dehydrocholesterol are found in the epidermal layer of skin, specifically in the stratum basale and stratum spinosum. The production of pre-vitamin D3 is therefore greatest in these two layers, whereas production in the other layers is less.
Synthesis in the skin involves UVB radiation which effectively penetrates only the epidermal layers of skin. While 7-Dehydrocholesterol absorbs UV light at wavelengths between 270–300 nm, optimal synthesis occurs in a narrow band of UVB spectra between 295-300 nm. Peak isomerization is found at 297 nm. This narrow segment is sometimes referred to as D-UV. The two most important factors that govern the generation of pre-vitamin D3 are the quantity (intensity) and quality (appropriate wavelength) of the UVB irradiation reaching the 7-dehydrocholesterol deep in the stratum basale and stratum spinosum.
A critical determinant of vitamin D3 production in the skin is the presence and concentration of  melanin. Melanin functions as a light filter in the skin, and therefore the concentration of melanin in the skin is related to the ability of UVB light to penetrate the epidermal strata and reach the 7-dehydrocholesterol-containing stratum basale and stratum spinosum. Under normal circumstances, ample quantities of 7-dehydrocholesterol (about 25-50  µg/ cm² of skin) are available in the stratum spinosum and stratum basale of human skin to meet the body's vitamin D requirements, and melanin content does not alter the amount of vitamin D that can be produced. Thus, individuals with higher skin melanin content will simply require more time in sunlight to produce the same amount of vitamin D as individuals with lower melanin content. As noted below, the amount of time an individual requires to produce a given amount of Vitamin D may also depend upon the person's distance from the equator and on the season of the year.
       
Synthesis mechanism (form 3)
| 1. Vitamin D3 is synthesized from 7-dehydrocholesterol, a derivative of cholesterol, which is then photolyzed by ultraviolet light in 6-electron conrotatory electrocyclic reaction. The product is pre-vitamin D3. | ![]()  | 
        
| 2. Pre-vitamin D3 then spontaneously isomerizes to Vitamin D3 in a antarafacial hydride [1,7] Sigmatropic shift. | ![]()  | 
        
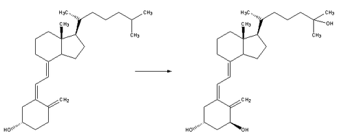
| 3. Whether it is made in the skin or ingested, vitamin D3 (cholecalciferol) is then  hydroxylated in the  liver to 25-hydroxycholecalciferol (25(OH)D3 or  calcidiol) by the enzyme  25-hydroxylase produced by  hepatocytes, and stored until it is needed.  25-hydroxycholecalciferol is further hydroxylated in the kidneys by the enzyme 1α-hydroxylase, into two dihydroxylated metabolites, the main biologically active hormone 1,25-dihydroxycholecalciferol (1,25(OH)2D3 or calcitriol) and 24R,25(OH)2D3. This conversion occurs in a tightly regulated fashion. Calcitriol is represented below right (hydroxylated Carbon 1 is on the lower ring at right, hydroxylated Carbon 25 is at the upper right end). | 
         ![]()  | 
        
Mechanism of action
Once vitamin D is produced in the skin or consumed in food, it is converted in the liver and kidney to form 1,25 dihydroxyvitamin D, (1,25(OH)2D) the physiologically active form of vitamin D (when "D" is used without a subscript it refers to either D2 or D3). Following this conversion, the hormonally active form of vitamin D is released into the circulation, and by binding to a carrier protein in the plasma, vitamin D binding protein (VDBP), it is transported to various target organs.
The hormonally active form of vitamin D mediates its biological effects by binding to the vitamin D receptor (VDR), which is principally located in the nuclei of target cells. The binding of calcitriol to the VDR allows the VDR to act as a transcription factor that modulates the gene expression of transport proteins (such as TRPV6 and calbindin), which are involved in calcium absorption in the intestine.
The Vitamin D receptor belongs to the nuclear receptor superfamily of steroid/thyroid hormone receptors, and VDR are expressed by cells in most organs, including the brain, heart, skin, gonads, prostate, and breast. VDR activation in the intestine, bone, kidney, and parathyroid gland cells leads to the maintenance of calcium and phosphorus levels in the blood (with the assistance of parathyroid hormone and calcitonin) and to the maintenance of bone content.
The VDR is known to be involved in cell proliferation, differentiation. Vitamin D also affects the immune system, and VDR are expressed in several white blood cells including monocytes and activated T and B cells.
Nutrition
Only fish is naturally rich in vitamin D, so much vitamin D intake in the industrialised world is from fortified products including milk, soy milk and breakfast cereals or supplements.
A blood calcidiol (25-hydroxy-vitamin D) level is the accepted way to determine vitamin D nutritional status. The optimal level of serum 25-hydroxyvitamin D is 35–55 ng/mL; with some debate among medical scientists for the slightly higher value.
The U.S. Dietary Reference Intake for adequate intake (AI) of vitamin D for infants, children and men and women aged 19–50 is 5 micrograms/day (200 IU/day). Adequate intake increases to 10 micrograms/day (400 IU/day) for men and women aged 51–70 and up to 15 micrograms/day (600 IU/day) past the age of 70. These dose rates will be too low during winter months above 30° latitude. In the absence of sun exposure, 1000 IU of cholecalciferol is required daily for children. 4000 IU of vitamin D may be required for adults absent summer UVB.

In light of its apparent health benefits, The Canadian Cancer Society recommends that non-white adults take 1,000 IU daily year-round and whites take that amount in fall and winter. The Canadian Pediatric Society recommends 2,000 IU daily for pregnant and breastfeeding women.
In food
Season, geographic latitude, time of day, cloud cover, smog, and sunscreen affect UV ray exposure and vitamin D synthesis in the skin, and it is important for individuals with limited sun exposure to include good sources of vitamin D in their diet.
In some countries, foods such as milk, yogurt, margarine, oil spreads, breakfast cereal, pastries, and bread are fortified with vitamin D2 and/or vitamin D3, to minimize the risk of vitamin D deficiency. In the United States and Canada, for example, fortified milk typically provides 100 IU per glass, or one quarter of the estimated adequate intake for adults over the age of 50.
Fortified foods represent the major dietary sources of vitamin D, as very few foods naturally contain significant amounts of vitamin D.
Natural sources of vitamin D include:
- Fish liver oils, such as cod liver oil, 1 Tbs. (15 mL) provides 1,360 IU
 - Fatty fish species, such as:
 - Mushrooms provide over 2700 IU per serving (approx. 3 oz or 1/2 cup) of vitamin D2, if exposed to just 5 minutes of UV light after being harvested; this is one of a few natural food-based sources of vitamin D for vegans.
 - One whole egg, 20 IU
 
Deficiency
Vitamin D deficiency can result from: inadequate intake coupled with inadequate sunlight exposure, disorders that limit its absorption, conditions that impair conversion of vitamin D into active metabolites, such as liver or kidney disorders, or, rarely, by a number of hereditary disorders. Deficiency results in impaired bone mineralization, and leads to bone softening diseases, rickets in children and osteomalacia in adults, and possibly contributes to osteoporosis.
Diseases caused by deficiency
The role of diet in the development of rickets was determined by Edward Mellanby between 1918–1920. In 1921 Elmer McCollum identified an anti-rachitic substance found in certain fats could prevent rickets. Because the newly discovered substance was the fourth vitamin identified, it was called vitamin D. The 1928 Nobel Prize in Chemistry was awarded to Adolf Windaus, who discovered the steroid 7-dehydrocholesterol, the precursor of vitamin D.
Vitamin D deficiency is known to cause several bone diseases including:
- Rickets, a childhood disease characterized by impeded growth, and deformity, of the long bones. The earliest sign of subclinical vitamin D deficiency is Craniotabes, abnormal softening or thinning of the skull.
 - Osteomalacia, a bone-thinning disorder that occurs exclusively in adults and is characterized by proximal muscle weakness and bone fragility.
 - Osteoporosis, a condition characterized by reduced bone mineral density and increased bone fragility.
 
Prior to the fortification of milk products with vitamin D, rickets was a major public health problem. In the United States, milk has been fortified with 10 micrograms (400 IU) of vitamin D per quart since the 1930s, leading to a dramatic decline in the number of rickets cases.
Zinc and Iron are often found to be poorly regulated or even deficient in Vitamin D deficiency. Vitamin D enhances the activities of Vitamin A, and Zinc reduces the toxicity of Vitamin A, while Iron reduces the toxicity of Zinc. These four are seen as part of the pathology of Alzheimer's, Parkinson's and some peripheral neuropathies including Restless legs syndrome
Vitamin D malnutrition may also be linked to an increased susceptibility to several chronic diseases such as high blood pressure, tuberculosis, cancer, periodontal disease, multiple sclerosis, chronic pain, depression, schizophrenia, seasonal affective disorder, peripheral artery disease and several autoimmune diseases including type 1 diabetes (see role in immunomodulation).
Groups at greater risk of deficiency
Vitamin D requirements increase with age, while the ability of skin to convert 7-dehydrocholesterol to pre-vitamin D3 decreases. In addition the ability of the kidneys to convert calcidiol to its active form also decreases with age, prompting the need for increased vitamin D supplementation in elderly individuals. One consensus concluded that for optimal prevention of osteoporotic fracture the blood calcidiol concentration should be higher than 30 ng/mL, which is equal to 75 nmol/L. One billion people in the world are currently Vitamin D deficient, if 75 nmol/L is used as cutoff value for insufficiency.
The American Pediatric Association advises vitamin D supplementation of 200 IU/day (5μg/d) from birth onwards. (1 IU Vitamin D is the biological equivalent of 0.025 μg cholecalciferol/ergocalciferol). The Canadian Paediatric Society recommends that pregnant or breastfeeding women consider taking 2000 IU/day, that all babies who are exclusively breastfed receive a supplement of 400 IU/day, and that babies living above 55 degrees latitude get 800 IU/day from October to April. Health Canada recommends 400IU/day (10μg/d). While infant formula is generally fortified with vitamin D, breast milk does not contain significant levels of vitamin D, and parents are usually advised to avoid exposing babies to prolonged sunlight. Therefore, infants who are exclusively breastfed are likely to require vitamin D supplementation beyond early infancy, especially at northern latitudes. Liquid "drops" of vitamin D, as a single nutrient or combined with other vitamins, are available in water based or oil-based preparations ("Baby Ddrops(R)" in North America, or "Vigantol(R) oil" in Europe). However, babies may be safely exposed to sunlight for short periods; as little as 10 minutes a day without a hat can suffice, depending on location and season. The vitamin D used for in supplements and infant formula is not distinguishable in efficacy from that produced by the body naturally. The risk of overdose is not present with natural exposure to sunlight, because the skin's capacity to produce vitamin D is self-limiting (skin production is thought to reflect the dose of vitamin D to which our evolution optimized human biology). In contrast, care should be given to limit oral intake for infants to no more than 1000 IU (25 mcg) daily, or for adults no more than 10,000 IU (250 mcg) daily.
Obese individuals may have lower levels of the circulating form of vitamin D, probably because of reduced bioavailability, and are at higher risk of deficiency. To maintain blood levels of calcium, therapeutic vitamin D doses are sometimes administered (up to 100,000 IU or 2.5 mg daily) to patients who have had their parathyroid glands removed (most commonly renal dialysis patients who have had tertiary hyperparathyroidism, but also to patients with primary hyperparathyroidism) or with hypoparathyroidism. Patients with chronic liver disease or intestinal malabsorption disorders may also require larger doses of vitamin D (up to 40,000 IU or 1 mg (1000 micrograms) daily).
The use of sunscreen with a sun protection factor (SPF) of 8 inhibits more than 95% of vitamin D production in the skin. Recent studies showed that, following the successful " Slip-Slop-Slap" health campaign encouraging Australians to cover up when exposed to sunlight to prevent skin cancer, an increased number of Australians and New Zealanders became vitamin D deficient. Ironically, there are indications that vitamin D deficiency may lead to skin cancer. To avoid vitamin D deficiency dermatologists recommend supplementation along with sunscreen use.
The reduced pigmentation of light-skinned individuals tends to allow more sunlight to be absorbed even at higher latitudes, thereby reducing the risk of vitamin D deficiency. However, at higher latitudes (above 30°) during the winter months, the decreased angle of the sun's rays, reduced daylight hours, protective clothing during cold weather, and fewer hours of outside activity, diminish absorption of sunlight and the production of vitamin D. Because melanin acts like a sun-block, prolonging the time required to generate vitamin D, dark- skinned individuals, in particular, may require extra vitamin D to avoid deficiency at higher latitudes. In June 2007, The Canadian Cancer Society began recommending that all adult Canadians consider taking 1000 IU of vitamin D during the fall and winter months (when typically the country's northern latitude prevents sufficient sun-stimulated production of vitamin D). At latitudes below 30° where sunlight and day-length are more consistent, vitamin D supplementation may not be required. Individuals clad in full body coverings during all their outdoor activity, most notably women wearing burquas in daylight, are at risk of vitamin D deficiency. This poses a lifestyle-related health risk mostly for female residents of conservative Muslim nations in the Middle East, but also for strict adherents in other parts of the world.
Overdose
Vitamin D stored in the human body as calcidiol (25-hydroxy-vitamin D) has a large volume of distribution and a long half-life (about 20 to 29 days). However, the synthesis of bioactive vitamin D hormone is tightly regulated and vitamin D toxicity usually occurs only if excessive doses (prescription forms or rodenticide analogs) are taken. Although normal food and pill vitamin D concentration levels are too low to be toxic in adults, because of the high vitamin A content in codliver oil, it is possible to reach toxic levels of vitamin A (but not vitamin D) via this route, if taken in multiples of the normal dose in an attempt to increase the intake of vitamin D. Most historical cases of vitamin D overdose have occurred due to manufacturing and industrial accidents.
Exposure to sunlight for extended periods of time does not cause vitamin D toxicity. This is because within about 20 minutes of ultraviolet exposure in light skinned individuals (3–6 times longer for pigmented skin) the concentration of vitamin D precursors produced in the skin reach an equilibrium, and any further vitamin D that is produced is degraded. Maximum endogenous production with full body exposure to sunlight is 250 µg (10,000 IU) per day.
The exact long-term safe dose of vitamin D is not entirely known, but dosages up to 250 micrograms (10,000 IU) /day in healthy adults are believed to be safe., and all known cases of vitamin D toxicity with hypercalcemia have involved intake of or over 1,000 micrograms (40,000 IU)/day. The U.S. Dietary Reference Intake Tolerable Upper Intake Level (UL) of vitamin D for children and adults is 50 micrograms/day (2,000 IU/day), with evidence that this value is too low by a factor of 5. In adults, sustained intake of 2500 micrograms/day (100,000 IU) can produce toxicity within a few months. For infants (birth to 12 months) the tolerable UL is set at 25 micrograms/day (1000 IU/day), and vitamin D concentrations of 1000 micrograms/day (40,000 IU) in infants has been shown to produce toxicity within 1 to 4 months. In the United States, overdose exposure of vitamin D was reported by 284 individuals in 2004, leading to 1 death. The Nutrition Desk Reference states "The threshold for toxicity is 500 to 600 micrograms [vitamin D] per kilogram body weight per day." The US EPA published an oral LD50 of 619 mg/kg for female rats.
Serum levels of calcidiol (25-hydroxy-vitamin D) are typically used to diagnose vitamin D overdose. In healthy individuals, calcidiol levels are normally between 32 to 69 ng/mL (82 to 176 nmol/L), but these levels may be as much as 15-fold greater in cases of vitamin D toxicity. Serum levels of bioactive vitamin D hormone (1,25(OH2)D) are usually normal in cases of vitamin D overdose.
Some symptoms of vitamin D toxicity are a result of hypercalcemia (an elevated level of calcium in the blood) caused by increased intestinal calcium absorption. Vitamin D toxicity is known to be a cause of high blood pressure. Gastrointestinal symptoms of vitamin D toxicity can include anorexia, nausea, and vomiting. These symptoms are often followed by polyuria (excessive production of urine), polydipsia (increased thirst), weakness, nervousness, pruritus (itch), and eventually renal failure. Other signals of kidney disease including elevated protein levels in the urine, urinary casts, and a build up of wastes in the blood stream can also develop. In one study, hypercalciuria and bone loss occurred in four patients with documented vitamin D toxicity. Another study showed elevated risk of ischaemic heart disease when 25D was above 89 ng/mL.
Vitamin D toxicity is treated by discontinuing vitamin D supplementation, and restricting calcium intake. If the toxicity is severe blood calcium levels can be further reduced with corticosteroids or bisphosphonates. In some cases kidney damage may be irreversible.
Role in immunomodulation
The hormonally active form of vitamin D mediates immunological effects by binding to nuclear vitamin D receptors (VDR) which are present in most immune cell types including both innate and adaptive immune cells. The VDR is expressed constitutively in monocytes and in activated macrophages, dendritic cells, NK cells, T and B cells. In line with this observation, activation of the VDR has potent anti- proliferative, pro- differentiative, and immunomodulatory functions including both immune-enhancing and immunosuppressive effects.
Effects of VDR- ligands, such as vitamin D hormone, on T-cells include suppression of T cell activation and induction of regulatory T cells, as well as effects on cytokine secretion patterns. VDR-ligands have also been shown to affect maturation, differentiation, and migration of dendritic cells, and inhibits DC-dependent T cell activation, resulting in an overall state of immunosuppression.
VDR ligands have also been shown to increase the activity of natural killer cells, and enhance the phagocytic activity of macrophages. Active vitamin D hormone also increases the production of cathelicidin, an antimicrobial peptide that is produced in macrophages triggered by bacteria, viruses, and fungi. Vitamin D deficiency tends to increase the risk of infections, such as influenza and tuberculosis. In a 1997 study, Ethiopian children with rickets were 13 times more likely to get pneumonia than children without rickets.
These immunoregulatory properties indicate that ligands with the potential to activate the VDR, including supplementation with calcitriol (as well as a number of synthetic modulators), may have therapeutic clinical applications in the treatment of; inflammatory diseases ( rheumatoid arthritis, psoriatic arthritis), dermatological conditions ( psoriasis, actinic keratosis), osteoporosis, cancers (prostate, colon, breast, myelodysplasia, leukemia, head and neck squamous cell carcinoma, and basal cell carcinoma), and autoimmune diseases ( systemic lupus erythematosus, type I diabetes, multiple sclerosis) and in preventing organ transplant rejection. However the effects of supplementation with vitamin D, as yet, remain unclear, and supplementation may be inadvisable for individuals with sarcoidosis and other diseases involving vitamin D hypersensitivity.
A 2006 study published in the Journal of the American Medical Association, reported evidence of a link between Vitamin D deficiency and the onset of Multiple Sclerosis; the authors posit that this is due to the immune-response suppression properties of Vitamin D.
Role in cancer prevention and recovery
The vitamin D hormone, calcitriol, has been found to induce death of cancer cells in vitro and in vivo. Although the anti-cancer activity of vitamin D is not fully understood, it is thought that these effects are mediated through vitamin D receptors expressed in cancer cells, and may be related to its immunomodulatory abilities. The anti-cancer activity of vitamin D observed in the laboratory has prompted some to propose that vitamin D supplementation might be beneficial in the treatment or prevention of some types of cancer.
A search of primary and review medical literature published between 1970 and 2007 found an increasing body of research supporting the hypothesis that the active form of vitamin D has significant, protective effects against the development of cancer. Epidemiological studies show an inverse association between sun exposure, serum levels of 25(OH)D, and intakes of vitamin D and risk of developing and/or surviving cancer. The protective effects of vitamin D result from its role as a nuclear transcription factor that regulates cell growth, differentiation, apoptosis and a wide range of cellular mechanisms central to the development of cancer. In 2005, scientists released a metastudy which demonstrated a beneficial correlation between vitamin D intake and prevention of cancer. Drawing from a meta-analysis of 63 published reports, the authors showed that intake of an additional 1,000 international units (IU) (or 25 micrograms) of vitamin D daily reduced an individual's colon cancer risk by 50%, and breast and ovarian cancer risks by 30%. Research has also shown a beneficial effect of high levels of calcitriol on patients with advanced prostate cancer. A randomized intervention study involving 1,200 women, published in June 2007, reports that vitamin D supplementation (1,100 international units (IU)/day) resulted in a 60% reduction in cancer incidence, during a four-year clinical trial, rising to a 77% reduction for cancers diagnosed after the first year (and therefore excluding those cancers more likely to have originated prior to the vitamin D intervention). In 2006, a study at Northwestern University found that taking the U.S. RDA of vitamin D (400 IU per day) cut the risk of pancreatic cancer by 43% in a sample of more than 120,000 people from two long-term health surveys.
A 2006 study using data on over 4 million cancer patients from 13 different countries showed a marked difference in cancer risk between countries classified as sunny and countries classified as less–sunny for a number of different cancers. Research has also suggested that cancer patients who have surgery or treatment in the summer — and therefore make more endogenous vitamin D — have a better chance of surviving their cancer than those who undergo treatment in the winter when they are exposed to less sunlight.
However, a large scientific review undertaken by the National Cancer Institute found no link between baseline vitamin D status and overall cancer mortality. They did find that vitamin D was beneficial in preventing colorectal cancer, which showed an inverse relationship with blood levels "80 nmol/L or higher associated with a 72% risk reduction".
Role in coronary disease prevention
Research indicates that vitamin D may play a role in preventing or reversing coronary disease. As with cancer incidence, a qualitative inverse correlations was found between coronary disease incidence and serum vitamin D levels of 32.0 versus 35.5 ng/mL. Cholesterol levels were found to be reduced in gardeners in the UK during the summer months. Heart attacks peak in winter and decline in summer in temperate but not tropical latitudes. The issue of vitamin D in heart health has not yet been settled. Exercise may account for some of the benefit attributed to vitamin D, since vitamin D levels are higher in physically active persons. Moreover, there may be an upper limit after which cardiac benefits decline. One study found an elevated risk of ischaemic heart disease in Southern India in individuals whose vitamin D levels were above 89 ng/mL. These sun-living groups results do not generalize to sun-deprived urban dwellers. Among a group with heavy sun exposure, taking supplemental vitamin D may result in blood levels over the ideal range, while urban dwellers not taking supplemental vitamin D may fall under the levels recognized as ideal, and being above or below the preferable levels may cause adverse affects on the health of each group.
Researchers at the Harvard Medical School in Boston reported in Circulation, the Journal of the American Heart Association, January 2008 that vitamin D deficiency is associated with an increase in high blood pressure and cardiovascular risk. Researchers monitored the vitamin D levels, blood pressure and other cardiovascular risk factors of 1739 people, of an average age of 59 years for 5 years. They found that those people with low levels of vitamin D had a 62% higher risk of a cardiovascular event than those with normal vitamin D levels.









