Checked content

Golden ratio

Related subjects: Mathematics

About this schools Wikipedia selection

SOS Children has tried to make Wikipedia content more accessible by this schools selection. With SOS Children you can choose to sponsor children in over a hundred countries

Line segments in the golden ratio
A golden rectangle with longer side a and shorter side b, when placed adjacent to a square with sides of length a, will produce a similar golden rectangle with longer side a + b and shorter side a. This illustrates the relationship  \frac{a+b}{a} = \frac{a}{b} \equiv \varphi.

In mathematics and the arts, two quantities are in the golden ratio if the ratio of the sum of the quantities to the larger quantity is equal to the ratio of the larger quantity to the smaller one. The figure on the right illustrates the geometric relationship. Expressed algebraically:

 \frac{a+b}{a} = \frac{a}{b} \ \stackrel{\text{def}}{=}\ \varphi,

where the Greek letter phi (\varphi) represents the golden ratio. Its value is:

\varphi = \frac{1+\sqrt{5}}{2} = 1.61803\,39887\ldots.

The golden ratio is also called the golden section (Latin: sectio aurea) or golden mean. Other names include extreme and mean ratio, medial section, divine proportion, divine section (Latin: sectio divina), golden proportion, golden cut, and golden number.

Many 20th century artists and architects have proportioned their works to approximate the golden ratio—especially in the form of the golden rectangle, in which the ratio of the longer side to the shorter is the golden ratio—believing this proportion to be aesthetically pleasing (see Applications and observations below). Mathematicians since Euclid have studied the properties of the golden ratio, including its appearance in the dimensions of a regular pentagon and in a golden rectangle, which can be cut into a square and a smaller rectangle with the same aspect ratio. The golden ratio has also been used to analyze the proportions of natural objects as well as man-made systems such as financial markets, in some cases based on dubious fits to data.

Calculation

  • γ
  • ζ(3)
  • 2
  • 3
  • 5
  • φ
  • ρ
  • δS
  • e
  • π
  • δ
Binary 1.1001111000110111011...
Decimal 1.6180339887498948482...
Hexadecimal 1.9E3779B97F4A7C15F39...
Continued fraction 1 + \cfrac{1}{1 + \cfrac{1}{1 + \cfrac{1}{1 + \cfrac{1}{1 + \ddots}}}}
Algebraic form \frac{1 + \sqrt{5}}{2}
Infinite series \frac{13}{8}+\sum_{n=0}^{\infty}\frac{(-1)^{(n+1)}(2n+1)!}{(n+2)!n!4^{(2n+3)}}

Two quantities a and b are said to be in the golden ratio φ if:

 \frac{a+b}{a} = \frac{a}{b} = \varphi.

One method for finding the value of φ is to start with the left fraction. Through simplifying the fraction and substituting in b/a = 1/φ,

\frac{a+b}{a} = 1 + \frac{b}{a} = 1 + \frac{1}{\varphi},

it is shown that

 1 + \frac{1}{\varphi} = \varphi.

Multiplying by φ gives

\varphi + 1 = \varphi^2

which can be rearranged to

{\varphi}^2 - \varphi - 1 = 0.

Using the quadratic formula, two solutions are obtained:

\varphi = \frac{1 + \sqrt{5}}{2} = 1.61803\,39887\dots

and

\varphi = \frac{1 - \sqrt{5}}{2} = -0.6180\,339887\dots

Because of the fact that φ is the ratio between length and width of a rectangle, which are non-zero, the positive solution must be chosen:

\varphi = \frac{1 + \sqrt{5}}{2} = 1.61803\,39887\dots

History

Mathematician Mark Barr proposed using the first letter in the name of Greek sculptor Phidias, phi, to symbolize the golden ratio. Usually, the lowercase form (φ) is used. Sometimes, the uppercase form (Φ) is used for the reciprocal of the golden ratio, 1/φ.
Michael Maestlin, first to publish a decimal approximation of the golden ratio, in 1597.

The golden ratio has fascinated Western intellectuals of diverse interests for at least 2,400 years. According to Mario Livio:

Some of the greatest mathematical minds of all ages, from Pythagoras and Euclid in ancient Greece, through the medieval Italian mathematician Leonardo of Pisa and the Renaissance astronomer Johannes Kepler, to present-day scientific figures such as Oxford physicist Roger Penrose, have spent endless hours over this simple ratio and its properties. But the fascination with the Golden Ratio is not confined just to mathematicians. Biologists, artists, musicians, historians, architects, psychologists, and even mystics have pondered and debated the basis of its ubiquity and appeal. In fact, it is probably fair to say that the Golden Ratio has inspired thinkers of all disciplines like no other number in the history of mathematics.

Ancient Greek mathematicians first studied what we now call the golden ratio because of its frequent appearance in geometry. The division of a line into "extreme and mean ratio" (the golden section) is important in the geometry of regular pentagrams and pentagons. The Greeks usually attributed discovery of this concept to Pythagoras or his followers. The regular pentagram, which has a regular pentagon inscribed within it, was the Pythagoreans' symbol.

Euclid's Elements (Greek: Στοιχεῖα) provides the first known written definition of what is now called the golden ratio: "A straight line is said to have been cut in extreme and mean ratio when, as the whole line is to the greater segment, so is the greater to the less." Euclid explains a construction for cutting (sectioning) a line "in extreme and mean ratio", i.e., the golden ratio. Throughout the Elements, several propositions (theorems in modern terminology) and their proofs employ the golden ratio. Some of these propositions show that the golden ratio is an irrational number.

The name "extreme and mean ratio" was the principal term used from the 3rd century BCE until about the 18th century.

The modern history of the golden ratio starts with Luca Pacioli's De divina proportione of 1509, which captured the imagination of artists, architects, scientists, and mystics with the properties, mathematical and otherwise, of the golden ratio.

The first known approximation of the (inverse) golden ratio by a decimal fraction, stated as "about 0.6180340", was written in 1597 by Michael Maestlin of the University of Tübingen in a letter to his former student Johannes Kepler.

Since the 20th century, the golden ratio has been represented by the Greek letter Φ or φ ( phi, after Phidias, a sculptor who is said to have employed it) or less commonly by τ ( tau, the first letter of the ancient Greek root τομή—meaning cut).

Timeline

Timeline according to Priya Hemenway:

  • Phidias (490–430 BC) made the Parthenon statues that seem to embody the golden ratio.
  • Plato (427–347 BC), in his Timaeus, describes five possible regular solids (the Platonic solids: the tetrahedron, cube, octahedron, dodecahedron, and icosahedron), some of which are related to the golden ratio.
  • Euclid (c. 325–c. 265 BC), in his Elements, gave the first recorded definition of the golden ratio, which he called, as translated into English, "extreme and mean ratio" (Greek: ἄκρος καὶ μέσος λόγος).
  • Fibonacci (1170–1250) mentioned the numerical series now named after him in his Liber Abaci; the ratio of sequential elements of the Fibonacci sequence approaches the golden ratio asymptotically.
  • Luca Pacioli (1445–1517) defines the golden ratio as the "divine proportion" in his Divina Proportione.
  • Michael Maestlin (1550–1631) publishes the first known approximation of the (inverse) golden ratio as a decimal fraction.
  • Johannes Kepler (1571–1630) proves that the golden ratio is the limit of the ratio of consecutive Fibonacci numbers, and describes the golden ratio as a "precious jewel": "Geometry has two great treasures: one is the Theorem of Pythagoras, and the other the division of a line into extreme and mean ratio; the first we may compare to a measure of gold, the second we may name a precious jewel." These two treasures are combined in the Kepler triangle.
  • Charles Bonnet (1720–1793) points out that in the spiral phyllotaxis of plants going clockwise and counter-clockwise were frequently two successive Fibonacci series.
  • Martin Ohm (1792–1872) is believed to be the first to use the term goldener Schnitt (golden section) to describe this ratio, in 1835.
  • Édouard Lucas (1842–1891) gives the numerical sequence now known as the Fibonacci sequence its present name.
  • Mark Barr (20th century) suggests the Greek letter phi (φ), the initial letter of Greek sculptor Phidias's name, as a symbol for the golden ratio.
  • Roger Penrose (b.1931) discovered a symmetrical pattern that uses the golden ratio in the field of aperiodic tilings, which led to new discoveries about quasicrystals.

Applications and observations

Aesthetics

De Divina Proportione, a three-volume work by Luca Pacioli, was published in 1509. Pacioli, a Franciscan friar, was known mostly as a mathematician, but he was also trained and keenly interested in art. De Divina Proportione explored the mathematics of the golden ratio. Though it is often said that Pacioli advocated the golden ratio's application to yield pleasing, harmonious proportions, Livio points out that the interpretation has been traced to an error in 1799, and that Pacioli actually advocated the Vitruvian system of rational proportions. Pacioli also saw Catholic religious significance in the ratio, which led to his work's title. Containing illustrations of regular solids by Leonardo da Vinci, Pacioli's longtime friend and collaborator, De Divina Proportione was a major influence on generations of artists and architects alike.

Architecture

Many of the proportions of the Parthenon are alleged to exhibit the golden ratio.

The Parthenon's façade as well as elements of its façade and elsewhere are said by some to be circumscribed by golden rectangles. Other scholars deny that the Greeks had any aesthetic association with golden ratio. For example, Midhat J. Gazalé says, "It was not until Euclid, however, that the golden ratio's mathematical properties were studied. In the Elements (308 BC) the Greek mathematician merely regarded that number as an interesting irrational number, in connection with the middle and extreme ratios. Its occurrence in regular pentagons and decagons was duly observed, as well as in the dodecahedron (a regular polyhedron whose twelve faces are regular pentagons). It is indeed exemplary that the great Euclid, contrary to generations of mystics who followed, would soberly treat that number for what it is, without attaching to it other than its factual properties." And Keith Devlin says, "Certainly, the oft repeated assertion that the Parthenon in Athens is based on the golden ratio is not supported by actual measurements. In fact, the entire story about the Greeks and golden ratio seems to be without foundation. The one thing we know for sure is that Euclid, in his famous textbook Elements, written around 300 BC, showed how to calculate its value." Near-contemporary sources like Vitruvius exclusively discuss proportions that can be expressed in whole numbers, i.e. commensurate as opposed to irrational proportions.

A 2004 geometrical analysis of earlier research into the Great Mosque of Kairouan reveals a consistent application of the golden ratio throughout the design, according to Boussora and Mazouz. They found ratios close to the golden ratio in the overall proportion of the plan and in the dimensioning of the prayer space, the court, and the minaret. The authors note, however, that the areas where ratios close to the golden ratio were found are not part of the original construction, and theorize that these elements were added in a reconstruction.

The Swiss architect Le Corbusier, famous for his contributions to the modern international style, centered his design philosophy on systems of harmony and proportion. Le Corbusier's faith in the mathematical order of the universe was closely bound to the golden ratio and the Fibonacci series, which he described as "rhythms apparent to the eye and clear in their relations with one another. And these rhythms are at the very root of human activities. They resound in man by an organic inevitability, the same fine inevitability which causes the tracing out of the Golden Section by children, old men, savages and the learned."

Le Corbusier explicitly used the golden ratio in his Modulor system for the scale of architectural proportion. He saw this system as a continuation of the long tradition of Vitruvius, Leonardo da Vinci's " Vitruvian Man", the work of Leon Battista Alberti, and others who used the proportions of the human body to improve the appearance and function of architecture. In addition to the golden ratio, Le Corbusier based the system on human measurements, Fibonacci numbers, and the double unit. He took suggestion of the golden ratio in human proportions to an extreme: he sectioned his model human body's height at the navel with the two sections in golden ratio, then subdivided those sections in golden ratio at the knees and throat; he used these golden ratio proportions in the Modulor system. Le Corbusier's 1927 Villa Stein in Garches exemplified the Modulor system's application. The villa's rectangular ground plan, elevation, and inner structure closely approximate golden rectangles.

Another Swiss architect, Mario Botta, bases many of his designs on geometric figures. Several private houses he designed in Switzerland are composed of squares and circles, cubes and cylinders. In a house he designed in Origlio, the golden ratio is the proportion between the central section and the side sections of the house.

In a recent book, author Jason Elliot speculated that the golden ratio was used by the designers of the Naqsh-e Jahan Square and the adjacent Lotfollah mosque.

Painting

The drawing of a man's body in a pentagram suggests relationships to the golden ratio.

The 16th-century philosopher Heinrich Agrippa drew a man over a pentagram inside a circle, implying a relationship to the golden ratio.

Leonardo da Vinci's illustrations of polyhedra in De divina proportione (On the Divine Proportion) and his views that some bodily proportions exhibit the golden ratio have led some scholars to speculate that he incorporated the golden ratio in his paintings. But the suggestion that his Mona Lisa, for example, employs golden ratio proportions, is not supported by anything in Leonardo's own writings. Similarly, although the Vitruvian Man is often shown in connection with the golden ratio, the proportions of the figure do not actually match it, and the text only mentions whole number ratios.

Salvador Dalí, influenced by the works of Matila Ghyka, explicitly used the golden ratio in his masterpiece, The Sacrament of the Last Supper. The dimensions of the canvas are a golden rectangle. A huge dodecahedron, in perspective so that edges appear in golden ratio to one another, is suspended above and behind Jesus and dominates the composition.

Mondrian has been said to have used the golden section extensively in his geometrical paintings, though other experts (including critic Yve-Alain Bois) have disputed this claim.

A statistical study on 565 works of art of different great painters, performed in 1999, found that these artists had not used the golden ratio in the size of their canvases. The study concluded that the average ratio of the two sides of the paintings studied is 1.34, with averages for individual artists ranging from 1.04 (Goya) to 1.46 (Bellini). On the other hand, Pablo Tosto listed over 350 works by well-known artists, including more than 100 which have canvasses with golden rectangle and root-5 proportions, and others with proportions like root-2, 3, 4, and 6.

Book design

Depiction of the proportions in a medieval manuscript. According to Jan Tschichold: "Page proportion 2:3. Margin proportions 1:1:2:3. Text area proportioned in the Golden Section."

According to Jan Tschichold,

There was a time when deviations from the truly beautiful page proportions 2:3, 1:√3, and the Golden Section were rare. Many books produced between 1550 and 1770 show these proportions exactly, to within half a millimeter.

Industrial design

Some sources claim that the golden ratio is commonly used in everyday design, for example in the shapes of postcards, playing cards, posters, wide-screen televisions, photographs, and light switch plates.

Music

Ernő Lendvaï analyzes Béla Bartók's works as being based on two opposing systems, that of the golden ratio and the acoustic scale, though other music scholars reject that analysis. In Bartok's Music for Strings, Percussion and Celesta the xylophone progression occurs at the intervals 1:2:3:5:8:5:3:2:1. French composer Erik Satie used the golden ratio in several of his pieces, including Sonneries de la Rose+Croix. The golden ratio is also apparent in the organization of the sections in the music of Debussy's Reflets dans l'eau (Reflections in Water), from Images (1st series, 1905), in which "the sequence of keys is marked out by the intervals 34, 21, 13 and 8, and the main climax sits at the phi position."

The musicologist Roy Howat has observed that the formal boundaries of La Mer correspond exactly to the golden section. Trezise finds the intrinsic evidence "remarkable," but cautions that no written or reported evidence suggests that Debussy consciously sought such proportions.

Pearl Drums positions the air vents on its Masters Premium models based on the golden ratio. The company claims that this arrangement improves bass response and has applied for a patent on this innovation.

Though Heinz Bohlen proposed the non-octave-repeating 833 cents scale based on combination tones, the tuning features relations based on the golden ratio. As a musical interval the ratio 1.618... is 833.090... cents (Play).

Nature

A detail of an Aeonium tabuliforme in Trädgårdsföreningen, Göteborg

Adolf Zeising, whose main interests were mathematics and philosophy, found the golden ratio expressed in the arrangement of branches along the stems of plants and of veins in leaves. He extended his research to the skeletons of animals and the branchings of their veins and nerves, to the proportions of chemical compounds and the geometry of crystals, even to the use of proportion in artistic endeavors. In these phenomena he saw the golden ratio operating as a universal law. In connection with his scheme for golden-ratio-based human body proportions, Zeising wrote in 1854 of a universal law "in which is contained the ground-principle of all formative striving for beauty and completeness in the realms of both nature and art, and which permeates, as a paramount spiritual ideal, all structures, forms and proportions, whether cosmic or individual, organic or inorganic, acoustic or optical; which finds its fullest realization, however, in the human form."

In 2010, the journal Science reported that the golden ratio is present at the atomic scale in the magnetic resonance of spins in cobalt niobate crystals.

Several researchers have proposed connections between the golden ratio and human genome DNA.

However, some have argued that many of the apparent manifestations of the golden mean in nature, especially in regard to animal dimensions, are in fact fictitious.

Optimization

The golden ratio is key to the golden section search.

Perceptual studies

Studies by psychologists, starting with Fechner, have been devised to test the idea that the golden ratio plays a role in human perception of beauty. While Fechner found a preference for rectangle ratios centered on the golden ratio, later attempts to carefully test such a hypothesis have been, at best, inconclusive.

Mathematics

Golden ratio conjugate

The negative root of the quadratic equation for φ (the "conjugate root") is

-\frac{1}{\varphi}=1-\varphi = \frac{1 - \sqrt{5}}{2} = -0.61803\,39887\dots.

The absolute value of this quantity (≈ 0.618) corresponds to the length ratio taken in reverse order (shorter segment length over longer segment length, b/a), and is sometimes referred to as the golden ratio conjugate. It is denoted here by the capital Phi (Φ):

\Phi = {1 \over \varphi} = \varphi^{-1} = 0.61803\,39887\ldots.

Alternatively, Φ can be expressed as

\Phi = \varphi -1 = 1.61803\,39887\ldots -1 = 0.61803\,39887\ldots.

This illustrates the unique property of the golden ratio among positive numbers, that

{1 \over \varphi} = \varphi - 1,

or its inverse:

{1 \over \Phi} = \Phi + 1.

This means 0.61803...:1 = 1:1.61803....

Short proofs of irrationality

Contradiction from an expression in lowest terms

If φ were rational, then it would be the ratio of sides of a rectangle with integer sides. But it is also a ratio of sides, which are also integers, of the smaller rectangle obtained by deleting a square. The sequence of decreasing integer side lengths formed by deleting squares cannot be continued indefinitely, so φ cannot be rational.

Recall that:

the whole is the longer part plus the shorter part;
the whole is to the longer part as the longer part is to the shorter part.

If we call the whole n and the longer part m, then the second statement above becomes

n is to m as m is to n − m,

or, algebraically

 \frac nm = \frac{m}{n-m}.\qquad (*)

To say that φ is rational means that φ is a fraction n/m where n and m are integers. We may take n/m to be in lowest terms and n and m to be positive. But if n/m is in lowest terms, then the identity labeled (*) above says m/(n − m) is in still lower terms. That is a contradiction that follows from the assumption that φ is rational.

Derivation from irrationality of √5

Another short proof—perhaps more commonly known—of the irrationality of the golden ratio makes use of the closure of rational numbers under addition and multiplication. If \textstyle\frac{1 + \sqrt{5}}{2} is rational, then \textstyle2\left(\frac{1 + \sqrt{5}}{2} - \frac{1}{2}\right) = \sqrt{5} is also rational, which is a contradiction if it is already known that the square root of a non- square natural number is irrational.

Alternative forms

Approximations to the reciprocal golden ratio by finite continued fractions, or ratios of Fibonacci numbers

The formula φ = 1 + 1/φ can be expanded recursively to obtain a continued fraction for the golden ratio:

\varphi = [1; 1, 1, 1, \dots] = 1 + \cfrac{1}{1 + \cfrac{1}{1 + \cfrac{1}{1 + \ddots}}}

and its reciprocal:

\varphi^{-1} = [0; 1, 1, 1, \dots] = 0 + \cfrac{1}{1 + \cfrac{1}{1 + \cfrac{1}{1 + \ddots}}}

The convergents of these continued fractions (1/1, 2/1, 3/2, 5/3, 8/5, 13/8, ..., or 1/1, 1/2, 2/3, 3/5, 5/8, 8/13, ...) are ratios of successive Fibonacci numbers.

The equation φ2 = 1 + φ likewise produces the continued square root, or infinite surd, form:

\varphi = \sqrt{1 + \sqrt{1 + \sqrt{1 + \sqrt{1 + \cdots}}}}.

An infinite series can be derived to express phi:

\varphi=\frac{13}{8}+\sum_{n=0}^{\infty}\frac{(-1)^{(n+1)}(2n+1)!}{(n+2)!n!4^{(2n+3)}}.

Also:

\varphi = 1+2\sin(\pi/10) = 1 + 2\sin 18^\circ
\varphi = {1 \over 2}\csc(\pi/10) = {1 \over 2}\csc 18^\circ
\varphi = 2\cos(\pi/5)=2\cos 36^\circ
 \varphi = 2\sin(3\pi/10)=2\sin 54^\circ.

These correspond to the fact that the length of the diagonal of a regular pentagon is φ times the length of its side, and similar relations in a pentagram.

Geometry

Approximate and true golden spirals. The green spiral is made from quarter-circles tangent to the interior of each square, while the red spiral is a Golden Spiral, a special type of logarithmic spiral. Overlapping portions appear yellow. The length of the side of one square divided by that of the next smaller square is the golden ratio.

The number φ turns up frequently in geometry, particularly in figures with pentagonal symmetry. The length of a regular pentagon's diagonal is φ times its side. The vertices of a regular icosahedron are those of three mutually orthogonal golden rectangles.

There is no known general algorithm to arrange a given number of nodes evenly on a sphere, for any of several definitions of even distribution (see, for example, Thomson problem). However, a useful approximation results from dividing the sphere into parallel bands of equal area and placing one node in each band at longitudes spaced by a golden section of the circle, i.e. 360°/φ 222.5°. This method was used to arrange the 1500 mirrors of the student-participatory satellite Starshine-3.

Dividing a line segment

Dividing a line segment according to the golden ratio

The following algorithm produces a geometric construction that divides a line segment into two line segments where the ratio of the longer to the shorter line segment is the golden ratio:

  1. Having a line segment AB, construct a perpendicular BC at point B, with BC half the length of AB. Draw the hypotenuse AC.
  2. Draw a circle with centre C and radius BC. This circle intersects the hypotenuse AC at point D.
  3. Draw a circle with centre A and radius AD. This circle intersects the original line segment AB at point S. Point S divides the original segment AB into line segments AS and SB with lengths in the golden ratio.


Golden triangle, pentagon and pentagram

Golden triangle
Golden triangle

The golden triangle can be characterized as an isosceles triangle ABC with the property that bisecting the angle C produces a new triangle CXB which is a similar triangle to the original.

If angle BCX = α, then XCA = α because of the bisection, and CAB = α because of the similar triangles; ABC = 2α from the original isosceles symmetry, and BXC = 2α by similarity. The angles in a triangle add up to 180°, so 5α = 180, giving α = 36°. So the angles of the golden triangle are thus 36°-72°-72°. The angles of the remaining obtuse isosceles triangle AXC (sometimes called the golden gnomon) are 36°-36°-108°.

Suppose XB has length 1, and we call BC length φ. Because of the isosceles triangles XC=XA and BC=XC, so these are also length φ. Length AC = AB, therefore equals φ + 1. But triangle ABC is similar to triangle CXB, so AC/BC = BC/BX, and so AC also equals φ2. Thus φ2 = φ + 1, confirming that φ is indeed the golden ratio.

Similarly, the ratio of the area of the larger triangle AXC to the smaller CXB is equal to φ, while the inverse ratio is φ − 1.

Pentagon

In a regular pentagon the ratio between a side and a diagonal is \Phi (i.e. 1/φ), while intersecting diagonals section each other in the golden ratio.

Odom's construction
\tfrac{|AB|}{|BC|}=\tfrac{|AC|}{|AB|}=\phi

George Odom has given a remarkably simple construction for φ involving an equilateral triangle: if an equilateral triangle is inscribed in a circle and the line segment joining the midpoints of two sides is produced to intersect the circle in either of two points, then these three points are in golden proportion. This result is a straightforward consequence of the intersecting chords theorem and can be used to construct a regular pentagon, a construction that attracted the attention of the noted Canadian geometer H. S. M. Coxeter who published it in Odom's name as a diagram in the American Mathematical Monthly accompanied by the single word "Behold!"

Pentagram
A pentagram colored to distinguish its line segments of different lengths. The four lengths are in golden ratio to one another.

The golden ratio plays an important role in the geometry of pentagrams. Each intersection of edges sections other edges in the golden ratio. Also, the ratio of the length of the shorter segment to the segment bounded by the two intersecting edges (a side of the pentagon in the pentagram's center) is φ, as the four-colour illustration shows.

The pentagram includes ten isosceles triangles: five acute and five obtuse isosceles triangles. In all of them, the ratio of the longer side to the shorter side is φ. The acute triangles are golden triangles. The obtuse isosceles triangles are golden gnomons.

Ptolemy's theorem
The golden ratio in a regular pentagon can be computed using Ptolemy's theorem.

The golden ratio properties of a regular pentagon can be confirmed by applying Ptolemy's theorem to the quadrilateral formed by removing one of its vertices. If the quadrilateral's long edge and diagonals are b, and short edges are a, then Ptolemy's theorem gives b2 = a2 + ab which yields

{b \over a}={{1+\sqrt{5}}\over 2}.

Scalenity of triangles

Consider a triangle with sides of lengths a, b, and c in decreasing order. Define the "scalenity" of the triangle to be the smaller of the two ratios a/b and b/c. The scalenity is always less than φ and can be made as close as desired to φ.

Triangle whose sides form a geometric progression

If the side lengths of a triangle form a geometric progression and are in the ratio 1 : r : r2, where r is the common ratio, then r must lie in the range φ−1 < r < φ, which is a consequence of the triangle inequality (the sum of any two sides of a triangle must be strictly bigger than the length of the third side). If r = φ then the shorter two sides are 1 and φ but their sum is φ2, thus r < φ. A similar calculation shows that r > φ−1. A triangle whose sides are in the ratio 1 : √φ : φ is a right triangle (because 1 + φ = φ2) known as a Kepler triangle.

Golden triangle, rhombus, and rhombic triacontahedron

One of the rhombic triacontahedron's rhombi
All of the faces of the rhombic triacontahedron are golden rhombi

A golden rhombus is a rhombus whose diagonals are in the golden ratio. The rhombic triacontahedron is a convex polytope that has a very special property: all of its faces are golden rhombi. In the rhombic triacontahedron the dihedral angle between any two adjacent rhombi is 144°, which is twice the isosceles angle of a golden triangle and four times its most acute angle.

Relationship to Fibonacci sequence

The mathematics of the golden ratio and of the Fibonacci sequence are intimately interconnected. The Fibonacci sequence is:

0, 1, 1, 2, 3, 5, 8, 13, 21, 34, 55, 89, 144, 233, 377, 610, 987, ....

The closed-form expression (known as Binet's formula, even though it was already known by Abraham de Moivre) for the Fibonacci sequence involves the golden ratio:

F\left(n\right)

= {{\varphi^n-(1-\varphi)^n} \over {\sqrt 5}}

= {{\varphi^n-(-\varphi)^{-n}} \over {\sqrt 5}}.
A Fibonacci spiral which approximates the golden spiral, using Fibonacci sequence square sizes up to 34.

The golden ratio is the limit of the ratios of successive terms of the Fibonacci sequence (or any Fibonacci-like sequence), as originally shown by Kepler:

\lim_{n\to\infty}\frac{F(n+1)}{F(n)}=\varphi.

Therefore, if a Fibonacci number is divided by its immediate predecessor in the sequence, the quotient approximates φ; e.g., 987/610 ≈ 1.6180327868852. These approximations are alternately lower and higher than φ, and converge on φ as the Fibonacci numbers increase, and:

\sum_{n=1}^{\infty}|F(n)\varphi-F(n+1)|

= \varphi.

More generally:

\lim_{n\to\infty}\frac{F(n+a)}{F(n)}={\varphi}^a,

where above, the ratios of consecutive terms of the Fibonacci sequence, is a case when a = 1.

Furthermore, the successive powers of φ obey the Fibonacci recurrence:

\varphi^{n+1}

= \varphi^n + \varphi^{n-1}.

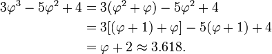
This identity allows any polynomial in φ to be reduced to a linear expression. For example:


\begin{align}
3\varphi^3 - 5\varphi^2 + 4 & = 3(\varphi^2 + \varphi) - 5\varphi^2 + 4 \\
& = 3[(\varphi + 1) + \varphi] - 5(\varphi + 1) + 4 \\
& = \varphi + 2 \approx 3.618.
\end{align}

However, this is no special property of φ, because polynomials in any solution x to a quadratic equation can be reduced in an analogous manner, by applying:

x^2=ax+b

for given coefficients a, b such that x satisfies the equation. Even more generally, any rational function (with rational coefficients) of the root of an irreducible nth-degree polynomial over the rationals can be reduced to a polynomial of degree n ‒ 1. Phrased in terms of field theory, if α is a root of an irreducible nth-degree polynomial, then \Q(\alpha) has degree n over \Q, with basis \{1, \alpha, \dots, \alpha^{n-1}\}.

Symmetries

The golden ratio and inverse golden ratio \varphi_\pm = (1\pm \sqrt{5})/2 have a set of symmetries that preserve and interrelate them. They are both preserved by the fractional linear transformations x, 1/(1-x), (x-1)/x, – this fact corresponds to the identity and the definition quadratic equation. Further, they are interchanged by the three maps 1/x, 1-x, x/(x-1) – they are reciprocals, symmetric about 1/2, and (projectively) symmetric about 2.

More deeply, these maps form a subgroup of the modular group \operatorname{PSL}(2,\mathbf{Z}) isomorphic to the symmetric group on 3 letters, S_3, corresponding to the stabilizer of the set \{0,1,\infty\} of 3 standard points on the projective line, and the symmetries correspond to the quotient map S_3 \to S_2 – the subgroup C_3 < S_3 consisting of the 3-cycles and the identity () (0 1 \infty) (0 \infty 1) fixes the two numbers, while the 2-cycles interchange these, thus realizing the map.

Other properties

The golden ratio has the simplest expression (and slowest convergence) as a continued fraction expansion of any irrational number (see Alternate forms above). It is, for that reason, one of the worst cases of Lagrange's approximation theorem and it is an extremal case of the Hurwitz inequality for Diophantine approximations. This may be why angles close to the golden ratio often show up in phyllotaxis (the growth of plants).

The defining quadratic polynomial and the conjugate relationship lead to decimal values that have their fractional part in common with φ:

\varphi^2 = \varphi + 1 = 2.618\dots
{1 \over \varphi} = \varphi - 1 = 0.618\dots.

The sequence of powers of φ contains these values 0.618..., 1.0, 1.618..., 2.618...; more generally, any power of φ is equal to the sum of the two immediately preceding powers:

\varphi^n = \varphi^{n-1} + \varphi^{n-2} = \varphi \cdot \operatorname{F}_n + \operatorname{F}_{n-1}.

As a result, one can easily decompose any power of φ into a multiple of φ and a constant. The multiple and the constant are always adjacent Fibonacci numbers. This leads to another property of the positive powers of φ:

If  \lfloor n/2 - 1 \rfloor = m , then:

 \!\ \varphi^n = \varphi^{n-1} + \varphi^{n-3} + \cdots + \varphi^{n-1-2m} + \varphi^{n-2-2m}
 \!\ \varphi^n - \varphi^{n-1} = \varphi^{n-2} .

When the golden ratio is used as the base of a numeral system (see Golden ratio base, sometimes dubbed phinary or φ-nary), every integer has a terminating representation, despite φ being irrational, but every fraction has a non-terminating representation.

The golden ratio is a fundamental unit of the algebraic number field \mathbb{Q}(\sqrt{5}) and is a Pisot–Vijayaraghavan number. In the field \mathbb{Q}(\sqrt{5}) we have \varphi^n = {{L_n + F_n \sqrt{5}} \over 2}, where L_n is the n-th Lucas number.

The golden ratio also appears in hyperbolic geometry, as the maximum distance from a point on one side of an ideal triangle to the closer of the other two sides: this distance, the side length of the equilateral triangle formed by the points of tangency of a circle inscribed within the ideal triangle, is 4 ln φ.

Decimal expansion

The golden ratio's decimal expansion can be calculated directly from the expression

\varphi = {1+\sqrt{5} \over 2},

with √5 ≈ 2.2360679774997896964. The square root of 5 can be calculated with the Babylonian method, starting with an initial estimate such as xφ = 2 and iterating

x_{n+1} = \frac{(x_n + 5/x_n)}{2}

for n = 1, 2, 3, ..., until the difference between xn and xn−1 becomes zero, to the desired number of digits.

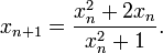
The Babylonian algorithm for √5 is equivalent to Newton's method for solving the equation x2 − 5 = 0. In its more general form, Newton's method can be applied directly to any algebraic equation, including the equation x2 − x − 1 = 0 that defines the golden ratio. This gives an iteration that converges to the golden ratio itself,

x_{n+1} = \frac{x_n^2 + 1}{2x_n - 1},

for an appropriate initial estimate xφ such as xφ = 1. A slightly faster method is to rewrite the equation as x − 1 − 1/x = 0, in which case the Newton iteration becomes

x_{n+1} = \frac{x_n^2 + 2x_n}{x_n^2 + 1}.

These iterations all converge quadratically; that is, each step roughly doubles the number of correct digits. The golden ratio is therefore relatively easy to compute with arbitrary precision. The time needed to compute n digits of the golden ratio is proportional to the time needed to divide two n-digit numbers. This is considerably faster than known algorithms for the transcendental numbers π and e.

An easily programmed alternative using only integer arithmetic is to calculate two large consecutive Fibonacci numbers and divide them. The ratio of Fibonacci numbers F 25001 and F 25000, each over 5000 digits, yields over 10,000 significant digits of the golden ratio.

The golden ratio φ has been calculated to an accuracy of several millions of decimal digits (sequence A001622 in OEIS). Alexis Irlande performed computations and verification of the first 17,000,000,000 digits.

Pyramids

A regular square pyramid is determined by its medial right triangle, whose edges are the pyramid's apothem (a), semi-base (b), and height (h); the face inclination angle is also marked. Mathematical proportions b:h:a of 1:\sqrt{\varphi}:\varphi and 3:4:5\ and 1:4/\pi:1.61899\ are of particular interest in relation to Egyptian pyramids.

Both Egyptian pyramids and those mathematical regular square pyramids that resemble them can be analyzed with respect to the golden ratio and other ratios.

Mathematical pyramids and triangles

A pyramid in which the apothem (slant height along the bisector of a face) is equal to φ times the semi-base (half the base width) is sometimes called a golden pyramid. The isosceles triangle that is the face of such a pyramid can be constructed from the two halves of a diagonally split golden rectangle (of size semi-base by apothem), joining the medium-length edges to make the apothem. The height of this pyramid is \sqrt{\varphi} times the semi-base (that is, the slope of the face is \sqrt{\varphi}); the square of the height is equal to the area of a face, φ times the square of the semi-base.

The medial right triangle of this "golden" pyramid (see diagram), with sides 1:\sqrt{\varphi}:\varphi is interesting in its own right, demonstrating via the Pythagorean theorem the relationship \sqrt{\varphi} = \sqrt{\varphi^2 - 1} or \varphi = \sqrt{1 + \varphi}. This " Kepler triangle" is the only right triangle proportion with edge lengths in geometric progression, just as the 3–4–5 triangle is the only right triangle proportion with edge lengths in arithmetic progression. The angle with tangent \sqrt{\varphi} corresponds to the angle that the side of the pyramid makes with respect to the ground, 51.827... degrees (51° 49' 38").

A nearly similar pyramid shape, but with rational proportions, is described in the Rhind Mathematical Papyrus (the source of a large part of modern knowledge of ancient Egyptian mathematics), based on the 3:4:5 triangle; the face slope corresponding to the angle with tangent 4/3 is 53.13 degrees (53 degrees and 8 minutes). The slant height or apothem is 5/3 or 1.666... times the semi-base. The Rhind papyrus has another pyramid problem as well, again with rational slope (expressed as run over rise). Egyptian mathematics did not include the notion of irrational numbers, and the rational inverse slope (run/rise, multiplied by a factor of 7 to convert to their conventional units of palms per cubit) was used in the building of pyramids.

Another mathematical pyramid with proportions almost identical to the "golden" one is the one with perimeter equal to 2π times the height, or h:b = 4:π. This triangle has a face angle of 51.854° (51°51'), very close to the 51.827° of the Kepler triangle. This pyramid relationship corresponds to the coincidental relationship \sqrt{\varphi} \approx 4/\pi.

Egyptian pyramids very close in proportion to these mathematical pyramids are known.

Egyptian pyramids

In the mid-nineteenth century, Röber studied various Egyptian pyramids including Khafre, Menkaure and some of the Giza, Sakkara, and Abusir groups, and was interpreted as saying that half the base of the side of the pyramid is the middle mean of the side, forming what other authors identified as the Kepler triangle; many other mathematical theories of the shape of the pyramids have also been explored.

One Egyptian pyramid is remarkably close to a "golden pyramid"—the Great Pyramid of Giza (also known as the Pyramid of Cheops or Khufu). Its slope of 51° 52' is extremely close to the "golden" pyramid inclination of 51° 50' and the π-based pyramid inclination of 51° 51'; other pyramids at Giza (Chephren, 52° 20', and Mycerinus, 50° 47') are also quite close. Whether the relationship to the golden ratio in these pyramids is by design or by accident remains open to speculation. Several other Egyptian pyramids are very close to the rational 3:4:5 shape.

Adding fuel to controversy over the architectural authorship of the Great Pyramid, Eric Temple Bell, mathematician and historian, claimed in 1950 that Egyptian mathematics would not have supported the ability to calculate the slant height of the pyramids, or the ratio to the height, except in the case of the 3:4:5 pyramid, since the 3:4:5 triangle was the only right triangle known to the Egyptians and they did not know the Pythagorean theorem, nor any way to reason about irrationals such as π or φ.

Michael Rice asserts that principal authorities on the history of Egyptian architecture have argued that the Egyptians were well acquainted with the golden ratio and that it is part of mathematics of the Pyramids, citing Giedon (1957). Historians of science have always debated whether the Egyptians had any such knowledge or not, contending rather that its appearance in an Egyptian building is the result of chance.

In 1859, the pyramidologist John Taylor claimed that, in the Great Pyramid of Giza, the golden ratio is represented by the ratio of the length of the face (the slope height), inclined at an angle θ to the ground, to half the length of the side of the square base, equivalent to the secant of the angle θ. The above two lengths were about 186.4 and 115.2 meters respectively. The ratio of these lengths is the golden ratio, accurate to more digits than either of the original measurements. Similarly, Howard Vyse, according to Matila Ghyka, reported the great pyramid height 148.2 m, and half-base 116.4 m, yielding 1.6189 for the ratio of slant height to half-base, again more accurate than the data variability.

Disputed observations

Examples of disputed observations of the golden ratio include the following:

  • Historian John Man states that the pages of the Gutenberg Bible were "based on the golden section shape". However, according to Man's own measurements, the ratio of height to width was 1.45.
  • Some specific proportions in the bodies of many animals (including humans) and parts of the shells of mollusks and cephalopods are often claimed to be in the golden ratio. There is a large variation in the real measures of these elements in specific individuals, however, and the proportion in question is often significantly different from the golden ratio. The ratio of successive phalangeal bones of the digits and the metacarpal bone has been said to approximate the golden ratio. The nautilus shell, the construction of which proceeds in a logarithmic spiral, is often cited, usually with the idea that any logarithmic spiral is related to the golden ratio, but sometimes with the claim that each new chamber is proportioned by the golden ratio relative to the previous one; however, measurements of nautilus shells do not support this claim.
  • The proportions of different plant components (numbers of leaves to branches, diameters of geometrical figures inside flowers) are often claimed to show the golden ratio proportion in several species. In practice, there are significant variations between individuals, seasonal variations, and age variations in these species. While the golden ratio may be found in some proportions in some individuals at particular times in their life cycles, there is no consistent ratio in their proportions.
  • In investing, some practitioners of technical analysis use the golden ratio to indicate support of a price level, or resistance to price increases, of a stock or commodity; after significant price changes up or down, new support and resistance levels are supposedly found at or near prices related to the starting price via the golden ratio. The use of the golden ratio in investing is also related to more complicated patterns described by Fibonacci numbers (e.g. Elliott wave principle and Fibonacci retracement). However, other market analysts have published analyses suggesting that these percentages and patterns are not supported by the data.
Retrieved from " http://en.wikipedia.org/w/index.php?title=Golden_ratio&oldid=549840115"